Официальное опубликование правовых актов
ОФИЦИАЛЬНОЕ ОПУБЛИКОВАНИЕ
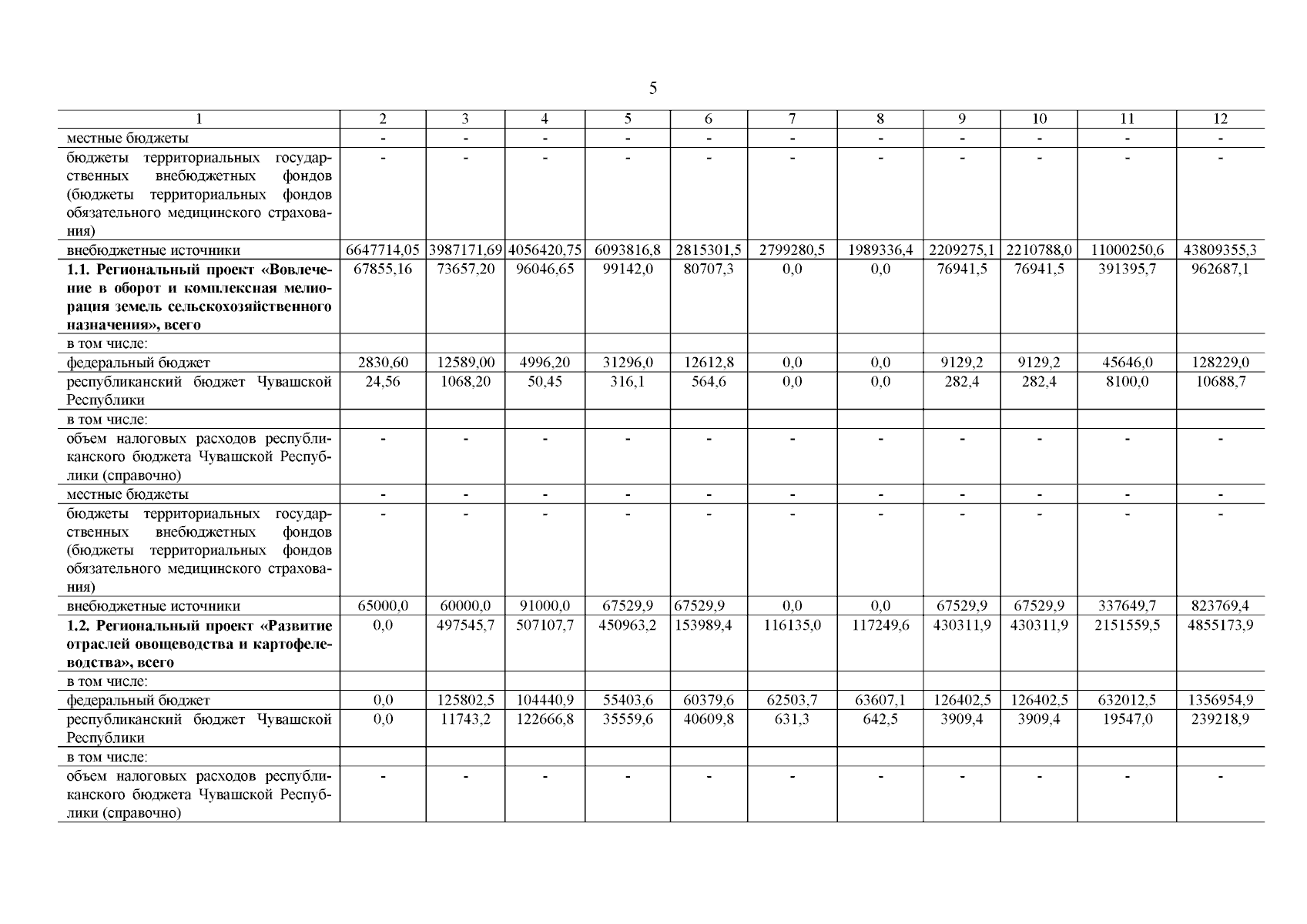
Постановление Кабинета Министров Чувашской Республики от 23.04.2026 № 245
"О внесении изменений в государственную программу Чувашской Республики "Развитие сельского хозяйства и регулирование рынка сельскохозяйственной продукции, сырья и продовольствия Чувашской Республики"
Номер опубликования: 2100202604240004
Дата опубликования: 24.04.2026
Страница №6 из 92:
Увеличить