Официальное опубликование правовых актов
ОФИЦИАЛЬНОЕ ОПУБЛИКОВАНИЕ
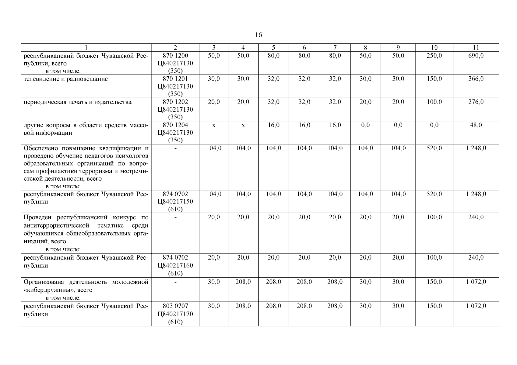
Постановление Кабинета Министров Чувашской Республики от 22.04.2026 № 239
"О внесении изменений в государственную программу Чувашской Республики "Повышение безопасности жизнедеятельности населения и территорий Чувашской Республики"
Номер опубликования: 2100202604230010
Дата опубликования: 23.04.2026
Страница №17 из 21:
Увеличить