Официальное опубликование правовых актов
ОФИЦИАЛЬНОЕ ОПУБЛИКОВАНИЕ
Постановление Кабинета Министров Чувашской Республики от 22.04.2026 № 225
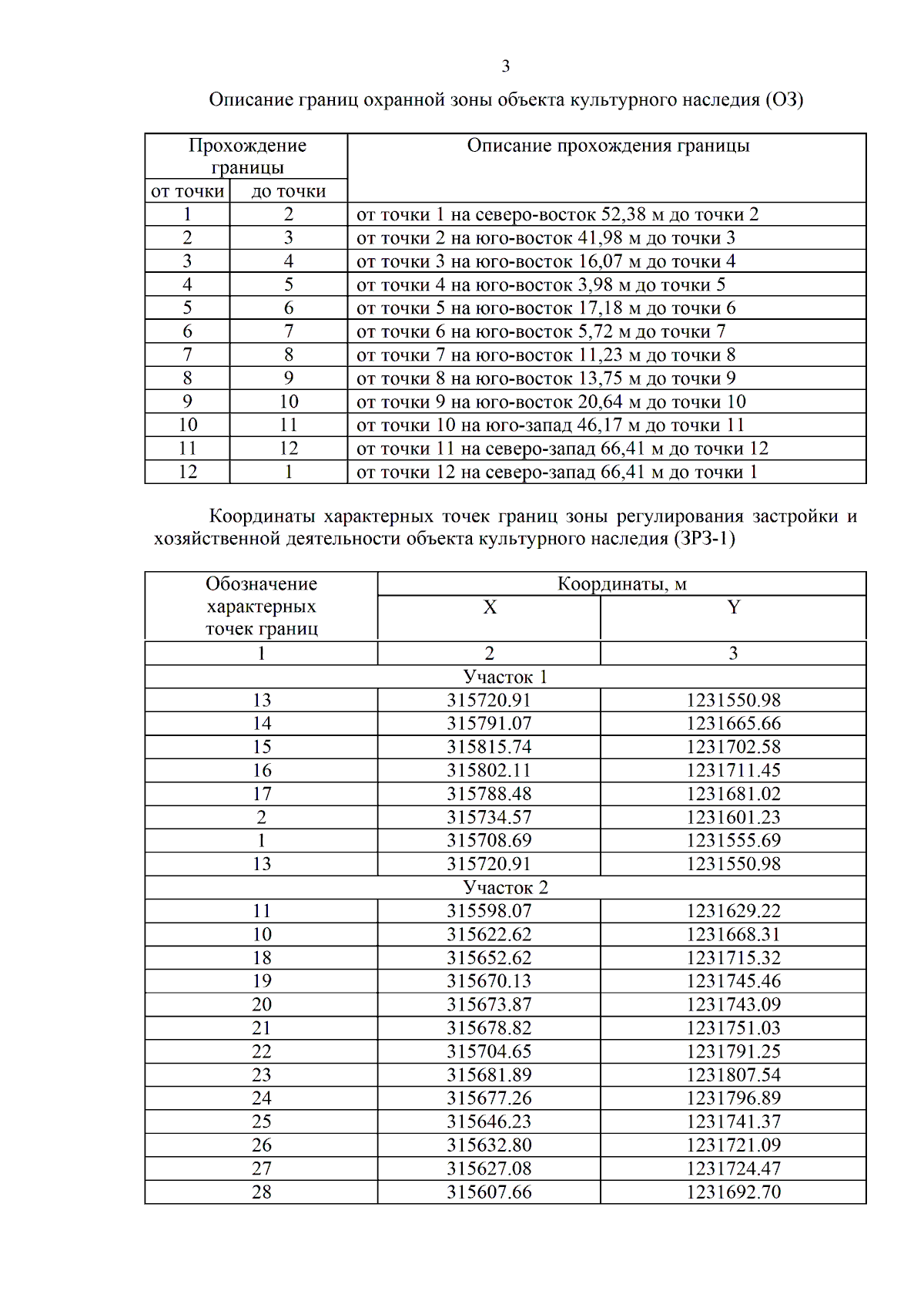
"Об установлении зон охраны объекта культурного наследия (памятника истории и культуры) регионального (республиканского) значения "Казанская церковь", 1906 г., и утверждении требований к градостроительным регламентам в границах территорий данных зон"
Номер опубликования: 2100202604230006
Дата опубликования: 23.04.2026
Страница №5 из 12:
Увеличить