Официальное опубликование правовых актов
ОФИЦИАЛЬНОЕ ОПУБЛИКОВАНИЕ
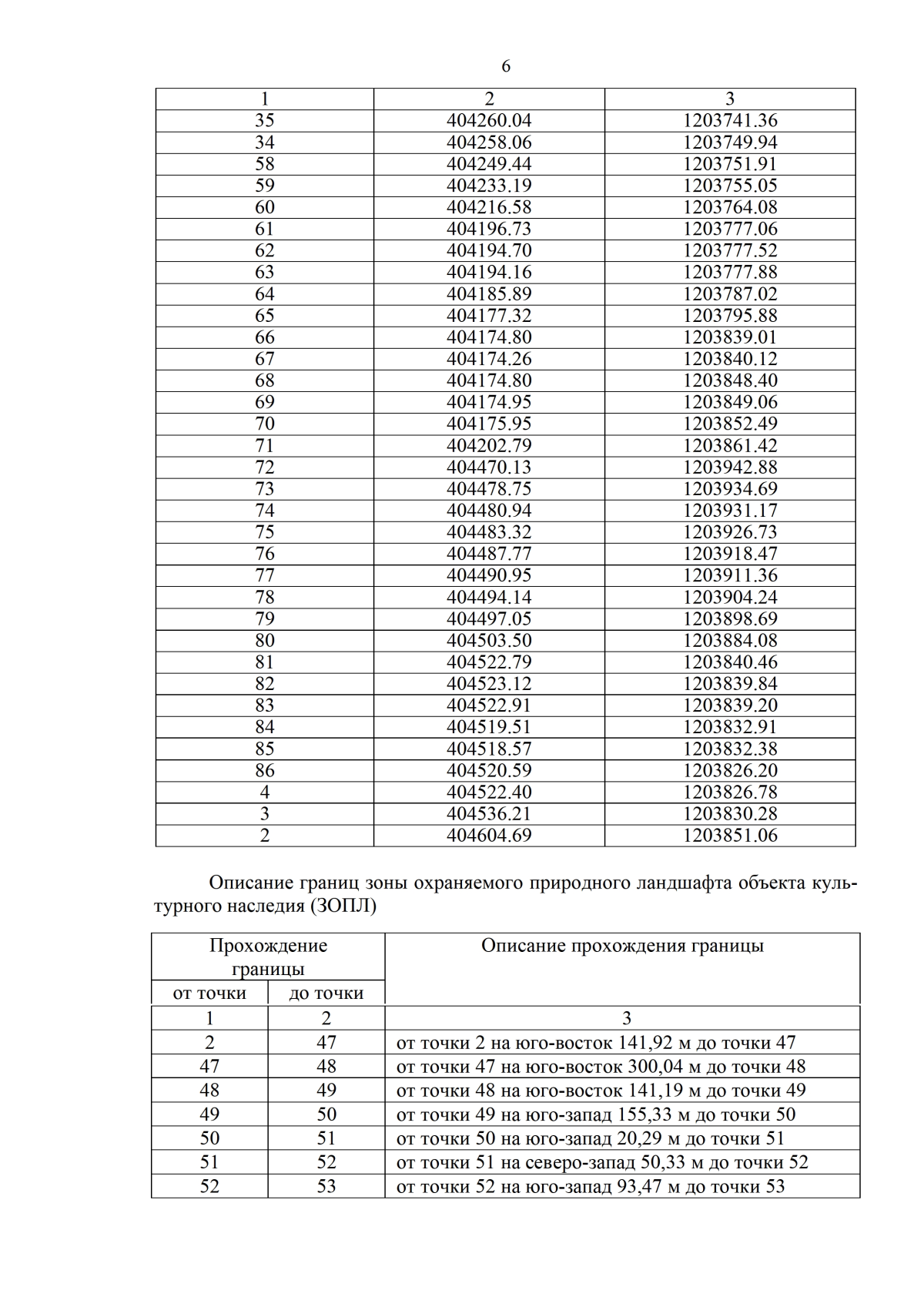
Постановление Кабинета Министров Чувашской Республики от 22.04.2026 № 226
"Об установлении зон охраны объекта культурного наследия (памятника истории и культуры) регионального (республиканского) значения "Ансамбль монастыря Александра Невского", начало XX в., и утверждении требований к градостроительным регламентам в границах территорий данных зон"
Номер опубликования: 2100202604230004
Дата опубликования: 23.04.2026
Страница №7 из 12:
Увеличить