Официальное опубликование правовых актов
ОФИЦИАЛЬНОЕ ОПУБЛИКОВАНИЕ
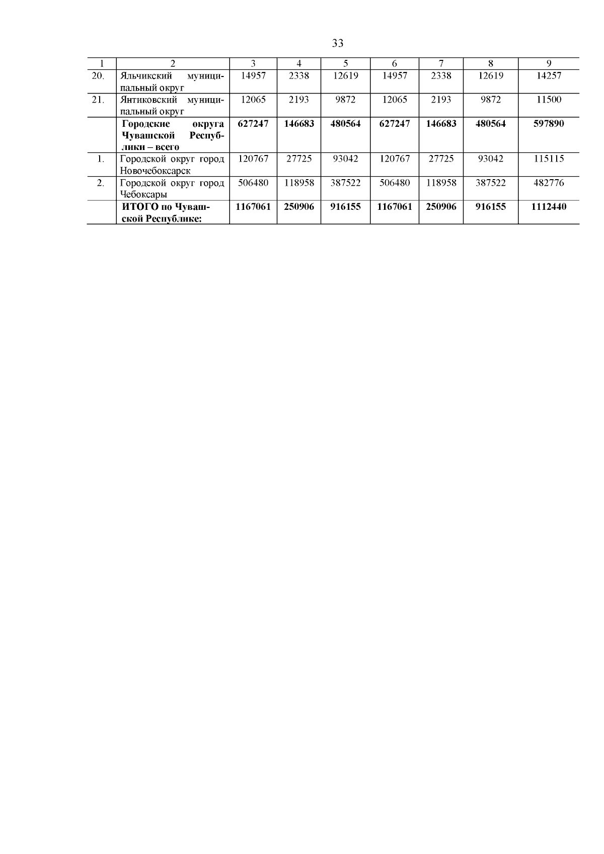
Постановление Кабинета Министров Чувашской Республики от 01.04.2026 № 173
"О внесении изменений в Программу модернизации первичного звена здравоохранения в Чувашской Республике"
Номер опубликования: 2100202604020005
Дата опубликования: 02.04.2026
Страница №34 из 331:
Увеличить