Официальное опубликование правовых актов
ОФИЦИАЛЬНОЕ ОПУБЛИКОВАНИЕ
Постановление Кабинета Министров Чувашской Республики от 25.02.2026 № 81
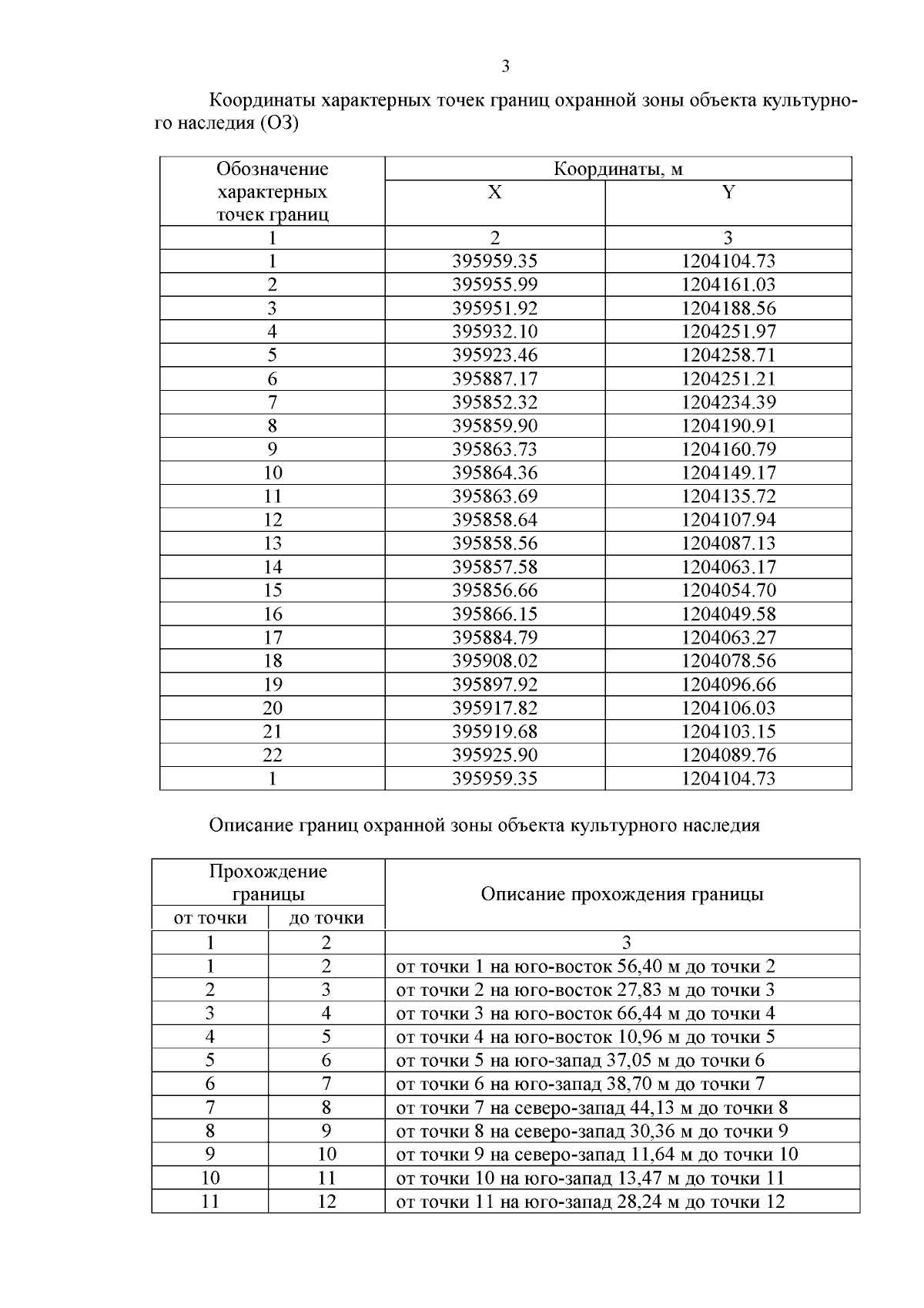
"Об установлении зон охраны объекта культурного наследия (памятника истории и культуры) регионального (республиканского) значения "Троицкая церковь", 1893 г., и утверждении требований к градостроительным регламентам в границах территорий данных зон"
Номер опубликования: 2100202602250006
Дата опубликования: 25.02.2026
Страница №5 из 15:
Увеличить