Официальное опубликование правовых актов
ОФИЦИАЛЬНОЕ ОПУБЛИКОВАНИЕ
Постановление Кабинета Министров Чувашской Республики от 25.12.2025 № 776
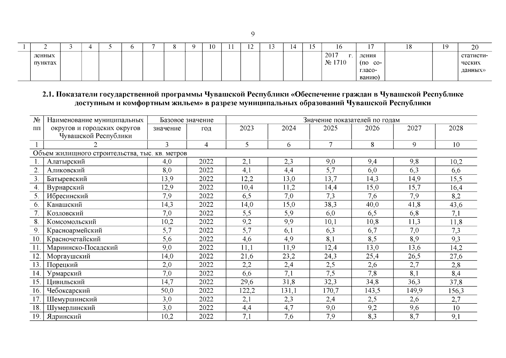
"О внесении изменений в государственную программу Чувашской Республики "Обеспечение граждан в Чувашской Республике доступным и комфортным жильем"
Номер опубликования: 2100202512260014
Дата опубликования: 26.12.2025
Страница №10 из 65:
Увеличить