Официальное опубликование правовых актов
ОФИЦИАЛЬНОЕ ОПУБЛИКОВАНИЕ
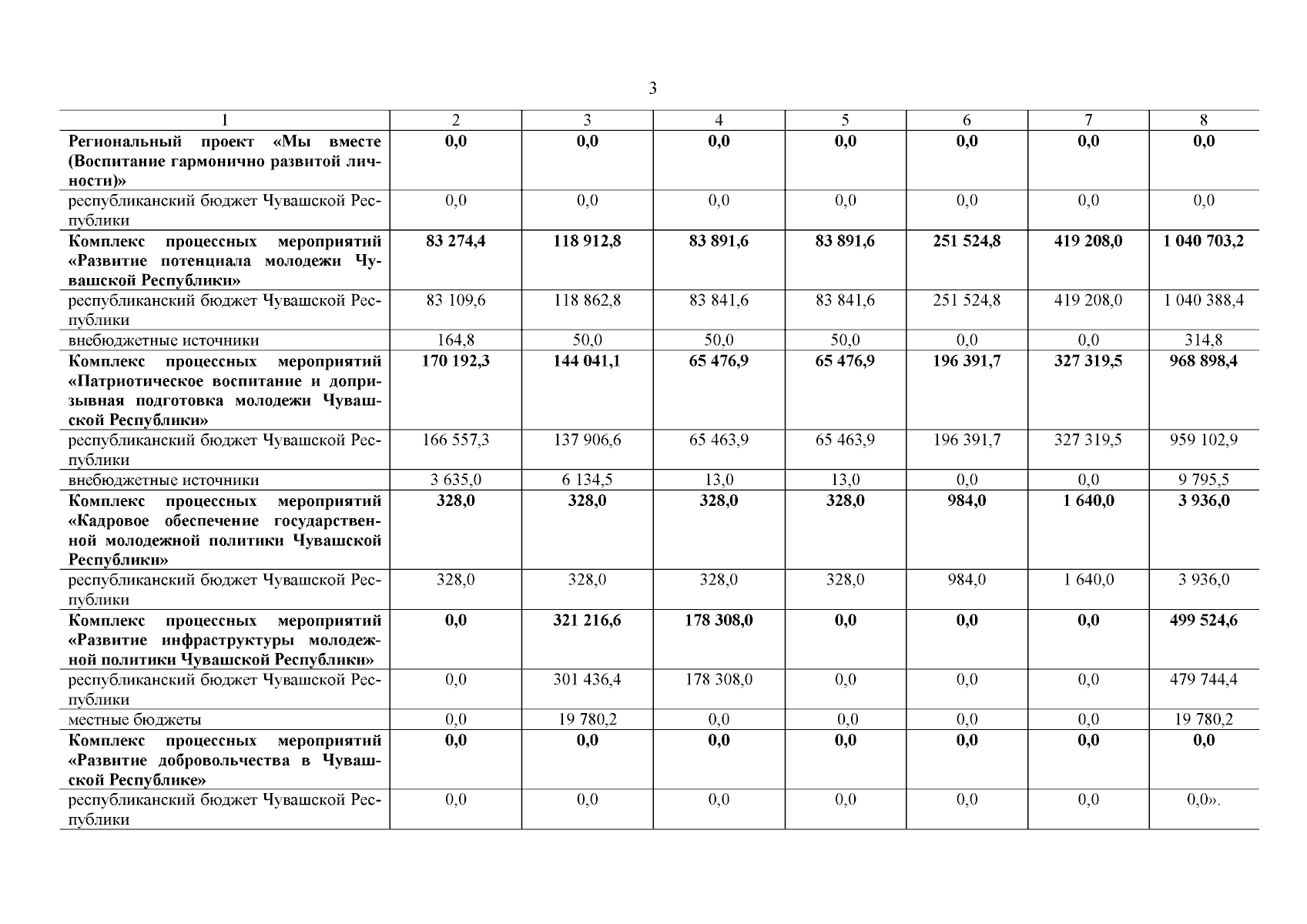
Постановление Кабинета Министров Чувашской Республики от 28.11.2025 № 678
"О внесении изменений в государственную программу Чувашской Республики "Молодежь Чувашской Республики"
Номер опубликования: 2100202512010001
Дата опубликования: 01.12.2025
Страница №4 из 12:
Увеличить