Официальное опубликование правовых актов
ОФИЦИАЛЬНОЕ ОПУБЛИКОВАНИЕ
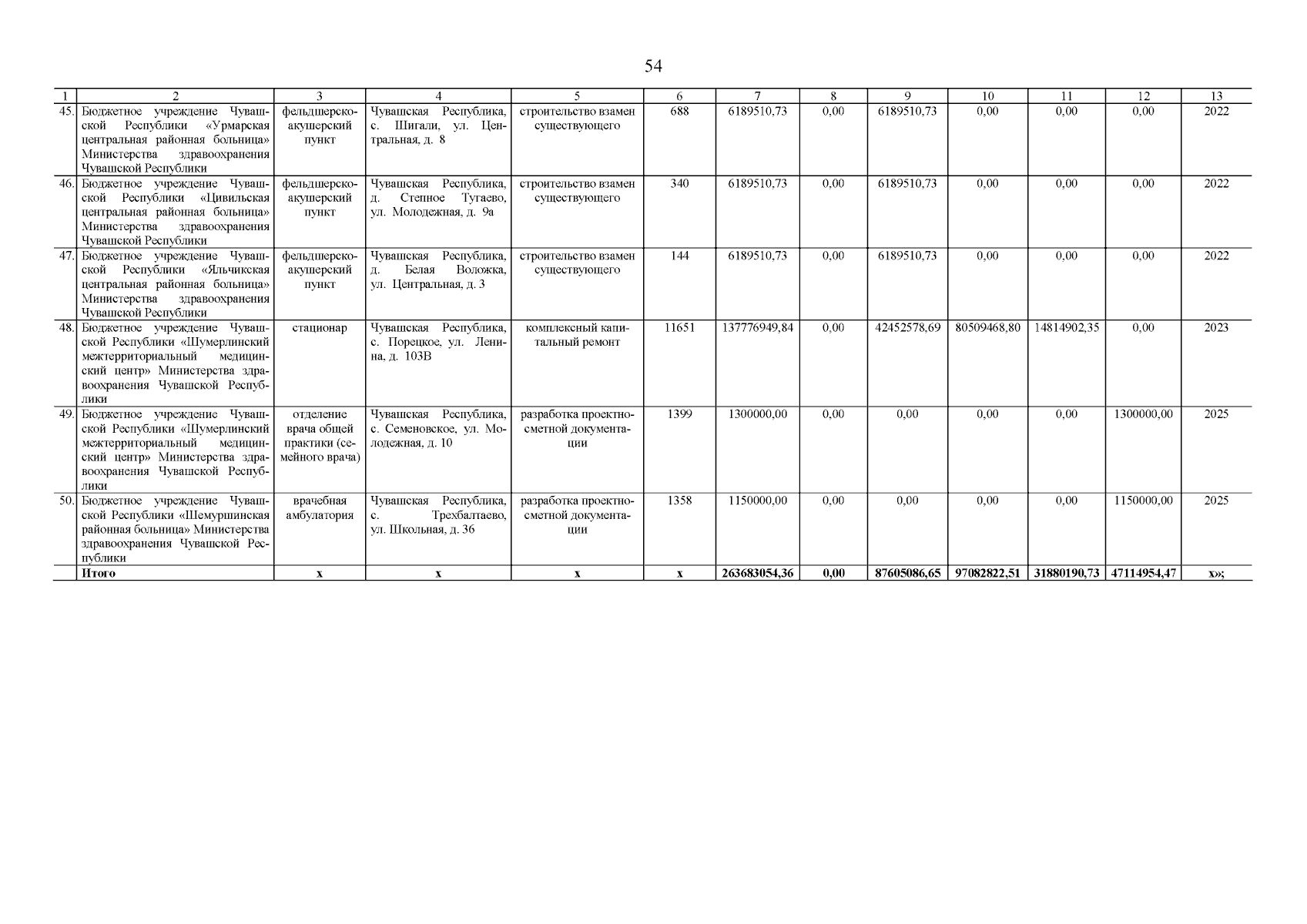
Постановление Кабинета Министров Чувашской Республики от 10.09.2025 № 518
"О внесении изменений в постановление Кабинета Министров Чувашской Республики от 15 декабря 2020 г. № 707"
Номер опубликования: 2100202509110002
Дата опубликования: 11.09.2025
Страница №55 из 56:
Увеличить