Официальное опубликование правовых актов
ОФИЦИАЛЬНОЕ ОПУБЛИКОВАНИЕ
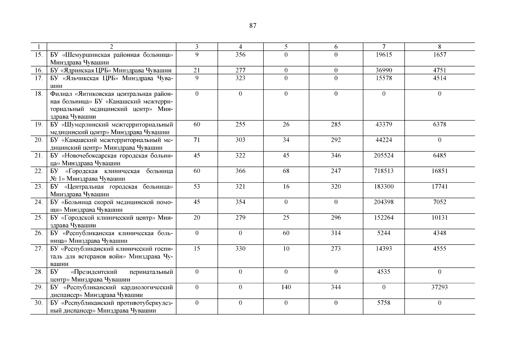
Постановление Кабинета Министров Чувашской Республики от 29.08.2025 № 496
"Об утверждении программы Чувашской Республики "Борьба с сердечно-сосудистыми заболеваниями"
Номер опубликования: 2100202509030001
Дата опубликования: 03.09.2025
Страница №88 из 287:
Увеличить