Официальное опубликование правовых актов
ОФИЦИАЛЬНОЕ ОПУБЛИКОВАНИЕ
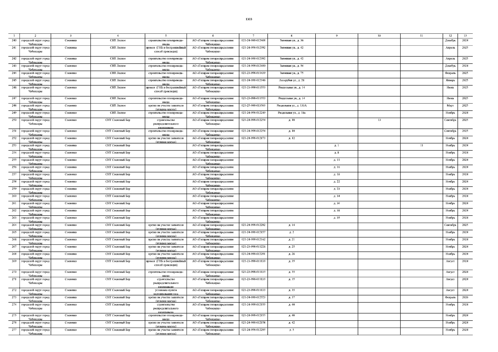
Постановление Кабинета Министров Чувашской Республики от 25.06.2025 № 348
"О внесении изменений в региональную программу "Газификация жилищно-коммунального хозяйства, промышленных и иных организаций Чувашской Республики"
Номер опубликования: 2100202506260014
Дата опубликования: 26.06.2025
Страница №1304 из 1315:
Увеличить