Официальное опубликование правовых актов
ОФИЦИАЛЬНОЕ ОПУБЛИКОВАНИЕ
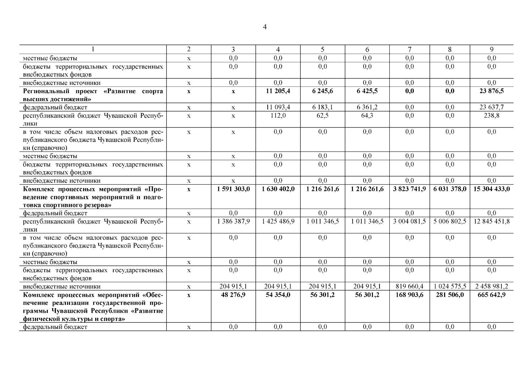
Постановление Кабинета Министров Чувашской Республики от 14.05.2025 № 261
"О внесении изменений в государственную программу Чувашской Республики "Развитие физической культуры и спорта"
Номер опубликования: 2100202505160006
Дата опубликования: 16.05.2025
Страница №5 из 19:
Увеличить