Официальное опубликование правовых актов
ОФИЦИАЛЬНОЕ ОПУБЛИКОВАНИЕ
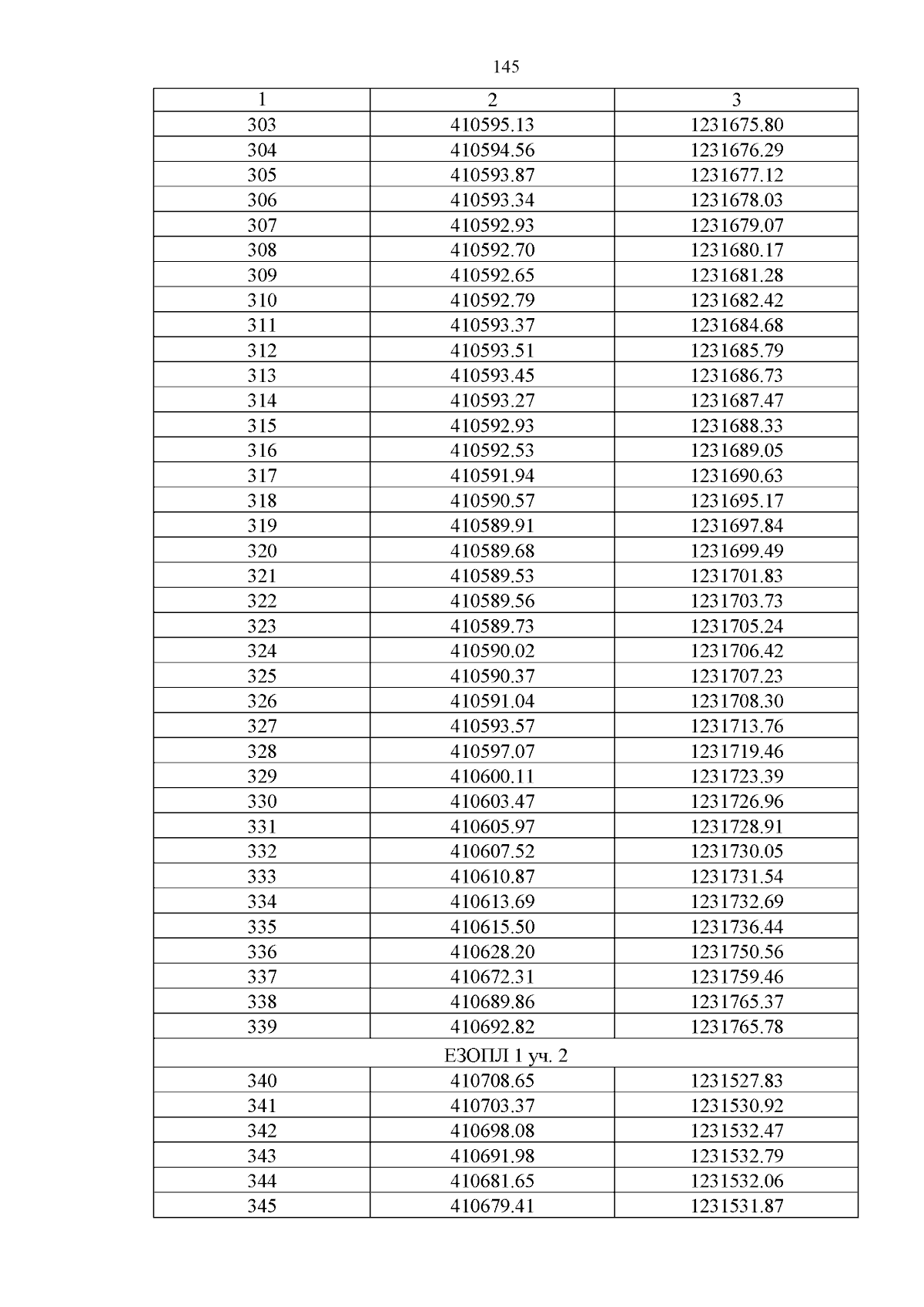
Постановление Кабинета Министров Чувашской Республики от 20.12.2024 № 721
"Об установлении объединенной зоны охраны объектов культурного наследия федерального и регионального (республиканского) значения, расположенных в исторической части г. Чебоксары, и утверждении требований к градостроительным регламентам в границах территорий данной зоны"
Номер опубликования: 2100202412230007
Дата опубликования: 23.12.2024
Страница №147 из 182:
Увеличить