Официальное опубликование правовых актов
ОФИЦИАЛЬНОЕ ОПУБЛИКОВАНИЕ
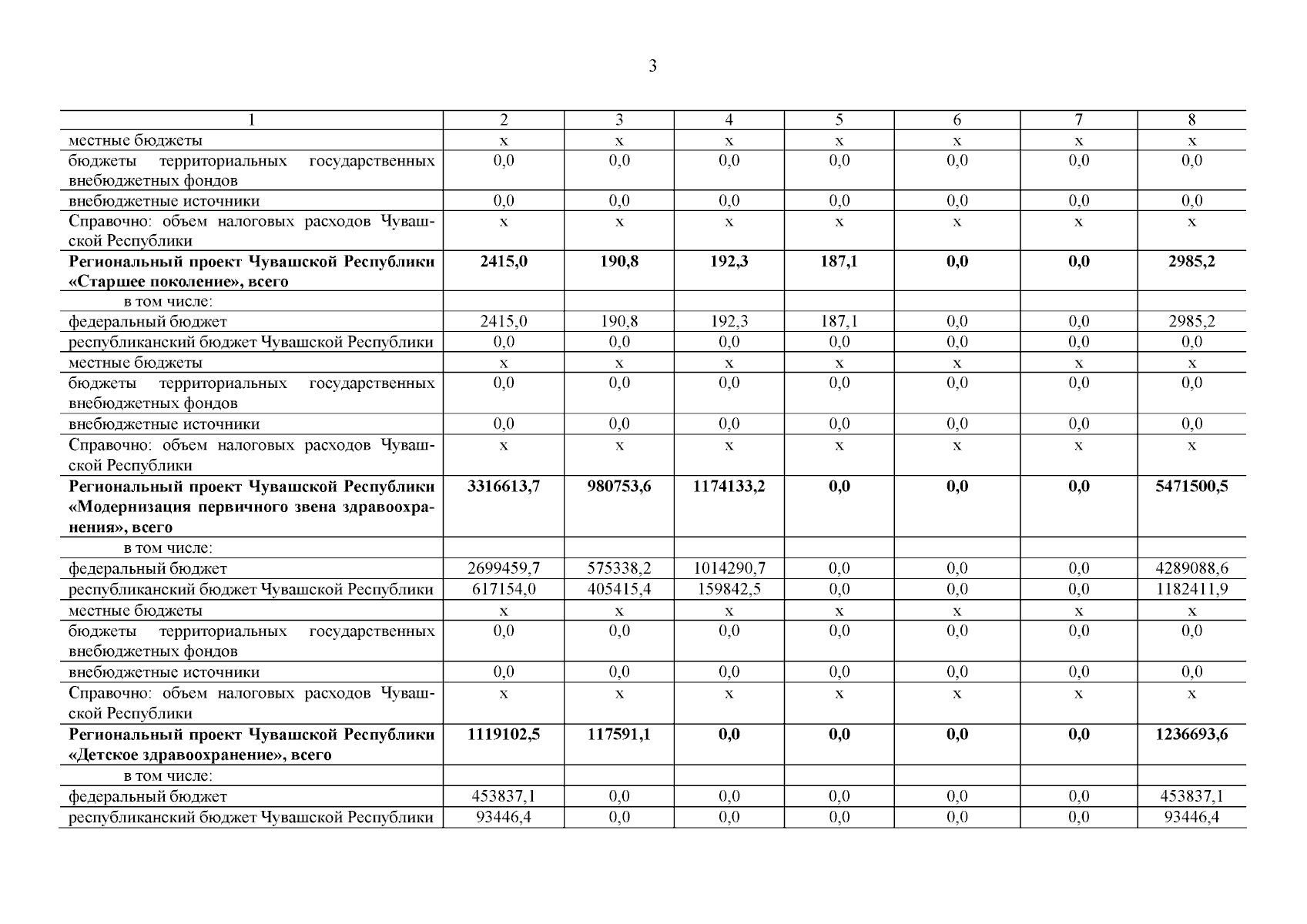
Постановление Кабинета Министров Чувашской Республики от 25.09.2024 № 543
"О внесении изменений в государственную программу Чувашской Республики "Развитие здравоохранения"
Номер опубликования: 2100202409260001
Дата опубликования: 26.09.2024
Страница №4 из 55:
Увеличить