Официальное опубликование правовых актов
ОФИЦИАЛЬНОЕ ОПУБЛИКОВАНИЕ
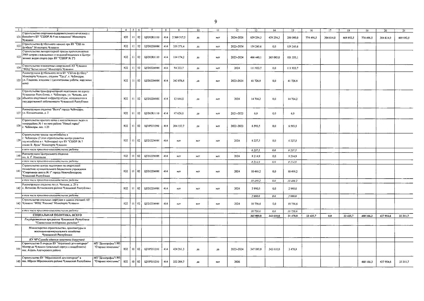
Постановление Кабинета Министров Чувашской Республики от 28.08.2024 № 492
"О внесении изменения в Республиканскую адресную инвестиционную программу на 2024 год и на плановый период 2025 и 2026 годов"
Номер опубликования: 2100202408290012
Дата опубликования: 29.08.2024
Страница №10 из 24:
Увеличить