Официальное опубликование правовых актов
ОФИЦИАЛЬНОЕ ОПУБЛИКОВАНИЕ
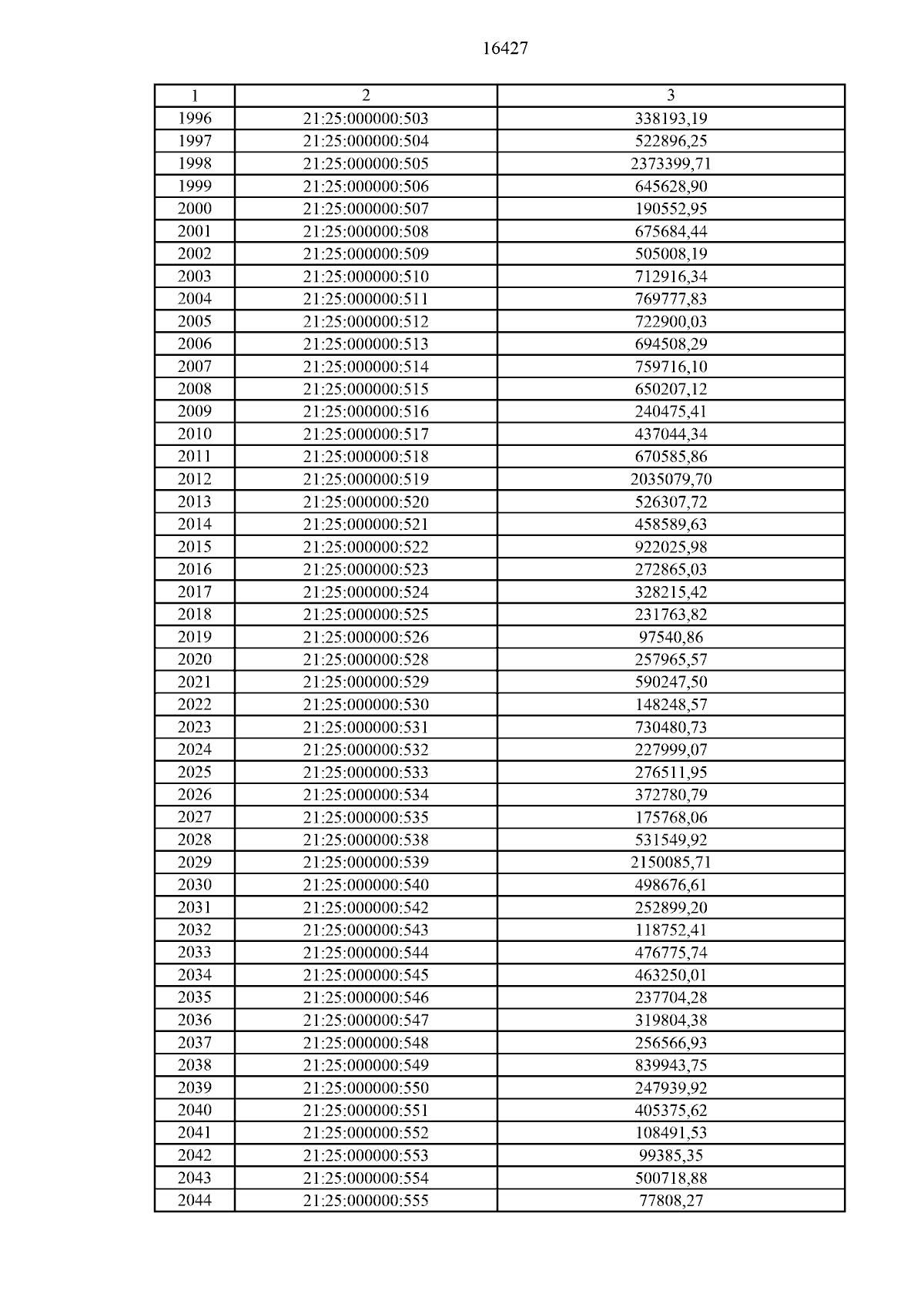
Постановление Кабинета Министров Чувашской Республики от 10.11.2023 № 717
"Об утверждении результатов определения кадастровой стоимости зданий, помещений, сооружений, объектов незавершенного строительства, машино-мест, учтенных в Едином государственном реестре недвижимости, на территории Чувашской Республики"
Номер опубликования: 2100202311150011
Дата опубликования: 15.11.2023
Страница №16428 из 16769:
Увеличить