Официальное опубликование правовых актов
ОФИЦИАЛЬНОЕ ОПУБЛИКОВАНИЕ
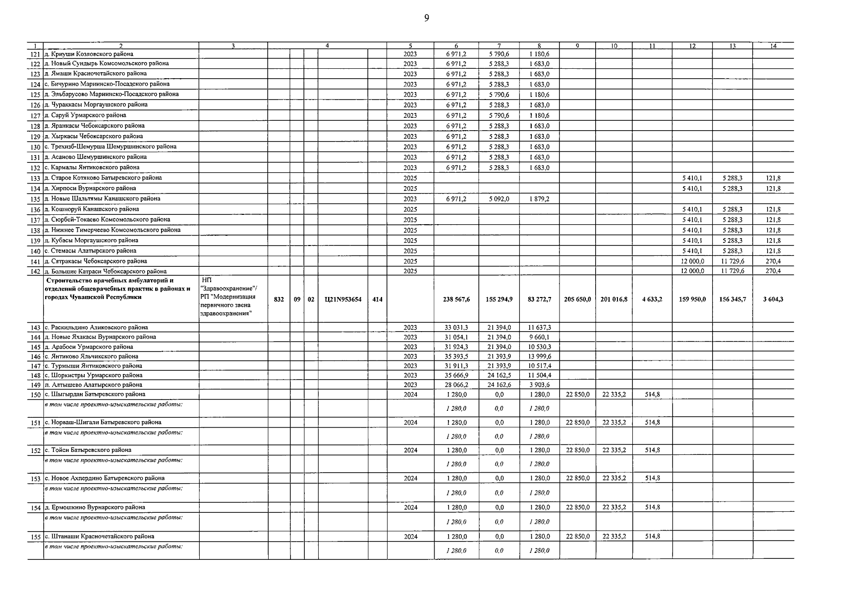
Постановление Кабинета Министров Чувашской Республики от 09.08.2023 № 519
"О внесении изменения в Республиканскую адресную инвестиционную программу на 2023 год и на плановый период 2024 и 2025 годов"
Номер опубликования: 2100202308100008
Дата опубликования: 10.08.2023
Страница №10 из 32:
Увеличить