Официальное опубликование правовых актов
ОФИЦИАЛЬНОЕ ОПУБЛИКОВАНИЕ
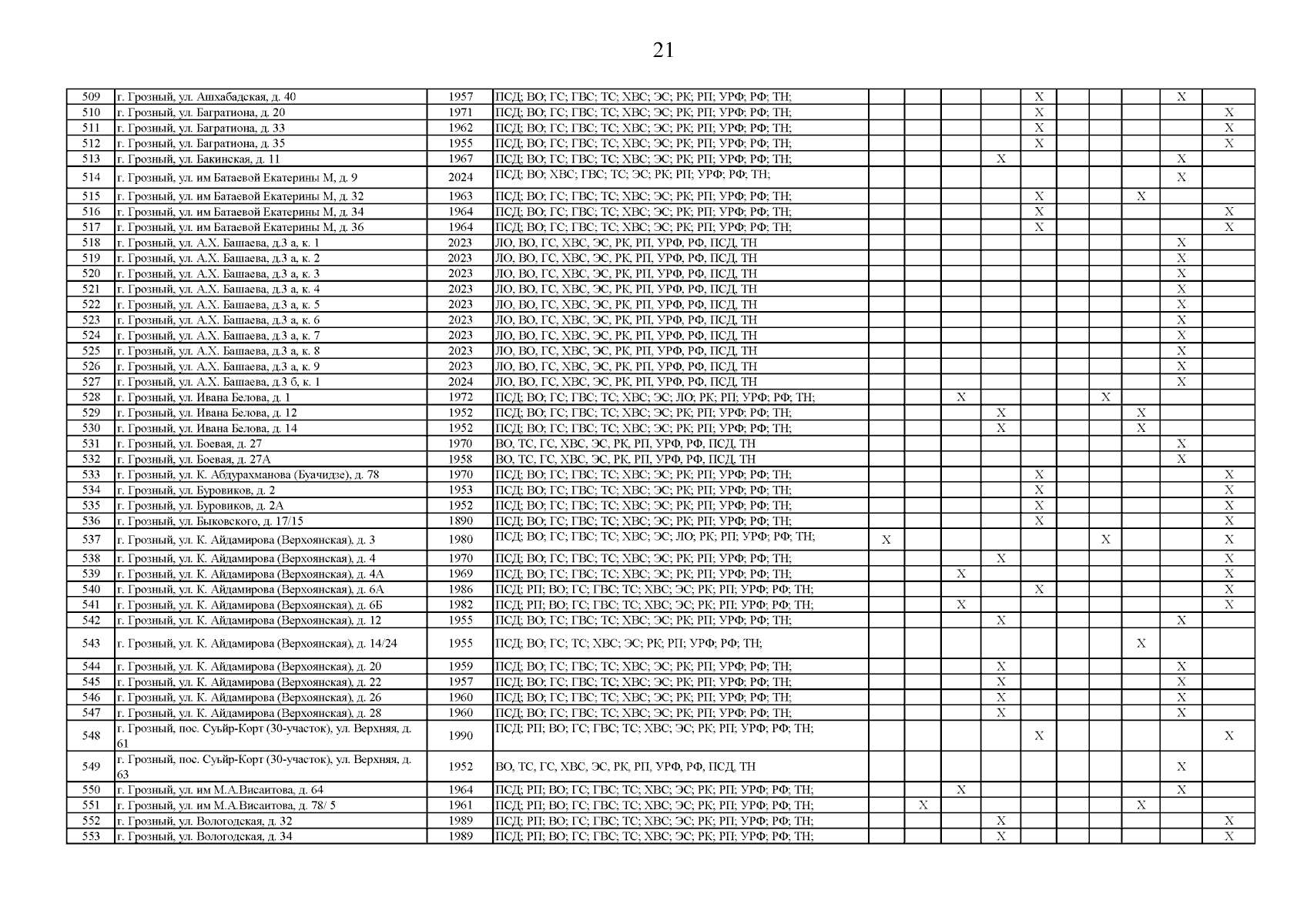
Постановление Правительства Чеченской Республики от 26.12.2025 № 274
"О внесении изменений в постановление Правительства Чеченской Республики от 4 февраля 2014 года № 18"
Номер опубликования: 2000202512300026
Дата опубликования: 30.12.2025
Страница №21 из 58:
Увеличить