Официальное опубликование правовых актов
ОФИЦИАЛЬНОЕ ОПУБЛИКОВАНИЕ
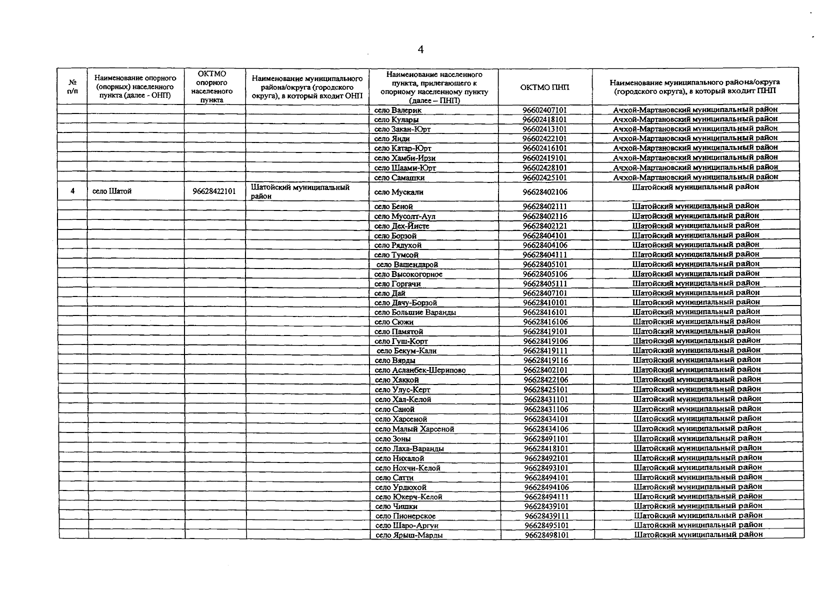
Постановление Правительства Чеченской Республики от 30.10.2025 № 235
"О внесении изменений в постановление Правительства Чеченской Республики от 27 сентября 2022 года № 231"
Номер опубликования: 2000202511060010
Дата опубликования: 06.11.2025
Страница №4 из 8:
Увеличить