Официальное опубликование правовых актов
ОФИЦИАЛЬНОЕ ОПУБЛИКОВАНИЕ
Постановление Правительства Чеченской Республики от 13.02.2024 № 14
"О внесении изменений в постановление Правительства Чеченской Республики от 26 декабря 2019 года № 304"
Номер опубликования: 2000202402200019
Дата опубликования: 20.02.2024
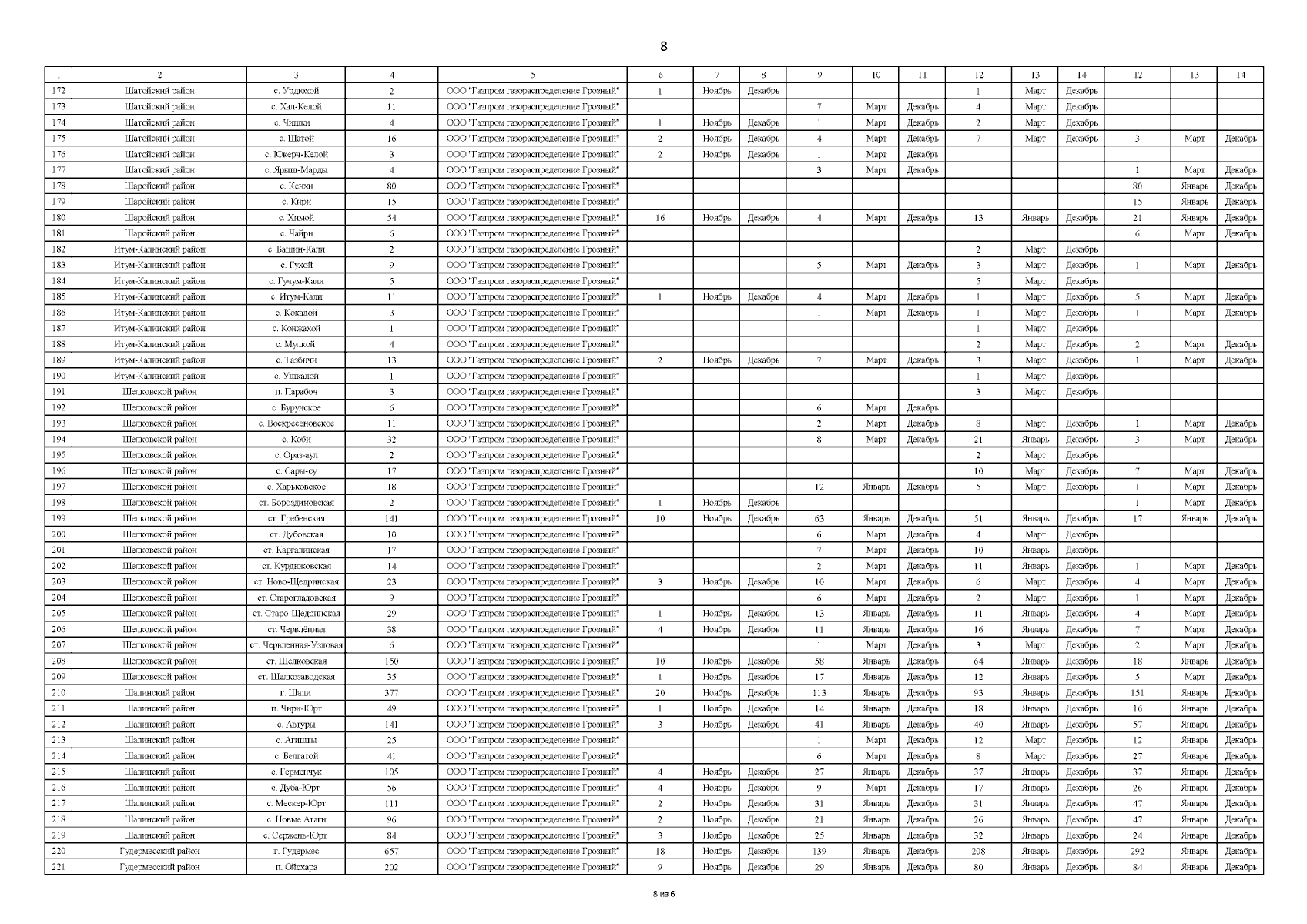
Страница №8 из 262:
Увеличить