Официальное опубликование правовых актов
ОФИЦИАЛЬНОЕ ОПУБЛИКОВАНИЕ
Приказ Государственного комитета тарифного регулирования Республики Хакасия от 17.12.2025 № 46-т
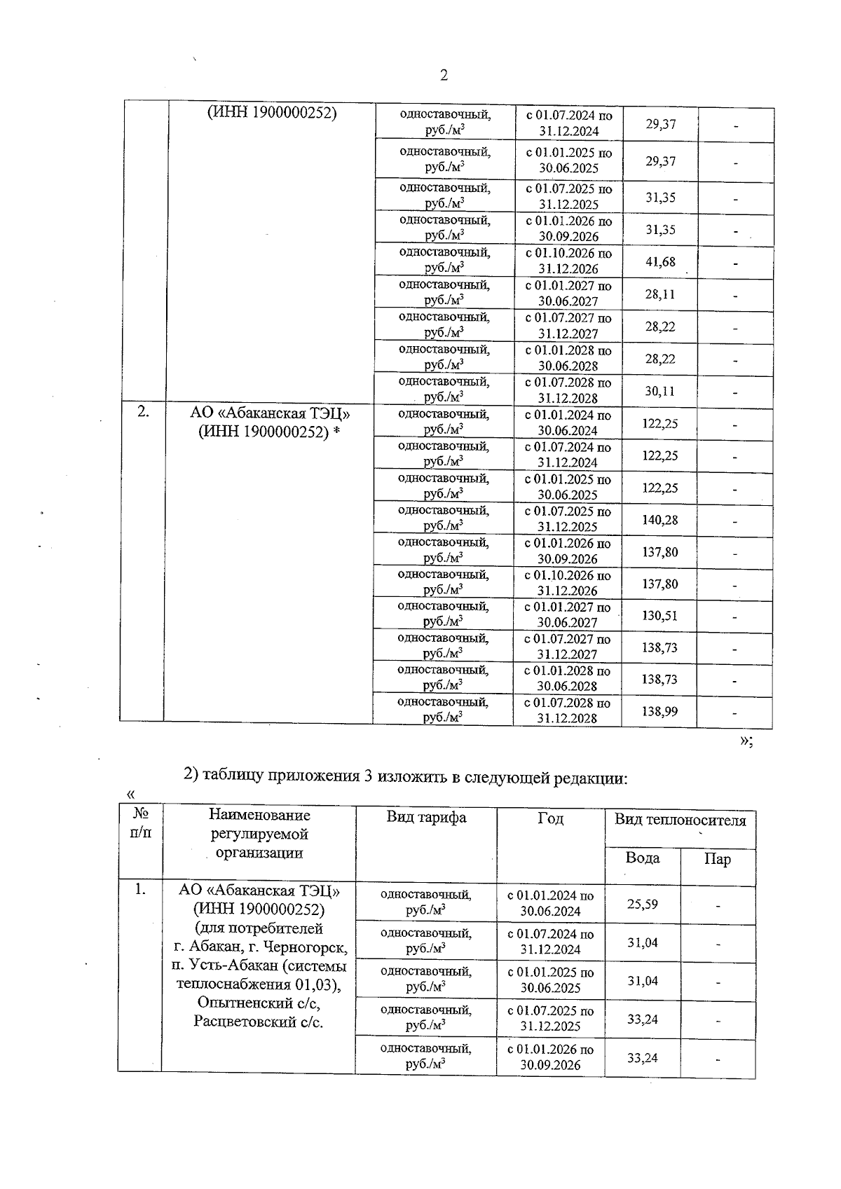
"О внесении изменений в приказ Государственного комитета энергетики и тарифного регулирования Республики Хакасия от 15.12.2023 № 52-т "Об установлении долгосрочных параметров регулирования и тарифов в сфере теплоснабжения для АО "Абаканская ТЭЦ" на 2024 - 2028 годы для потребителей г. Абакана, г. Черногорска, п. Усть-Абакан (системы теплоснабжения 01, 03), Расцветовского сельсовета, Опытненского сельсовета"
(Зарегистрирован 18.12.2025 № 573)
Номер опубликования: 1901202512190004
Дата опубликования: 19.12.2025
Страница №2 из 5:
Увеличить