Официальное опубликование правовых актов
ОФИЦИАЛЬНОЕ ОПУБЛИКОВАНИЕ
Приказ Министерства имущественных и земельных отношений Республики Хакасия от 28.11.2023 № 020-89-п
"Об определении на 2024 год перечня объектов недвижимого имущества, в отношении которых налоговая база определяется как кадастровая стоимость"
(Зарегистрирован 29.11.2023 № 571)
Номер опубликования: 1901202311290001
Дата опубликования: 29.11.2023
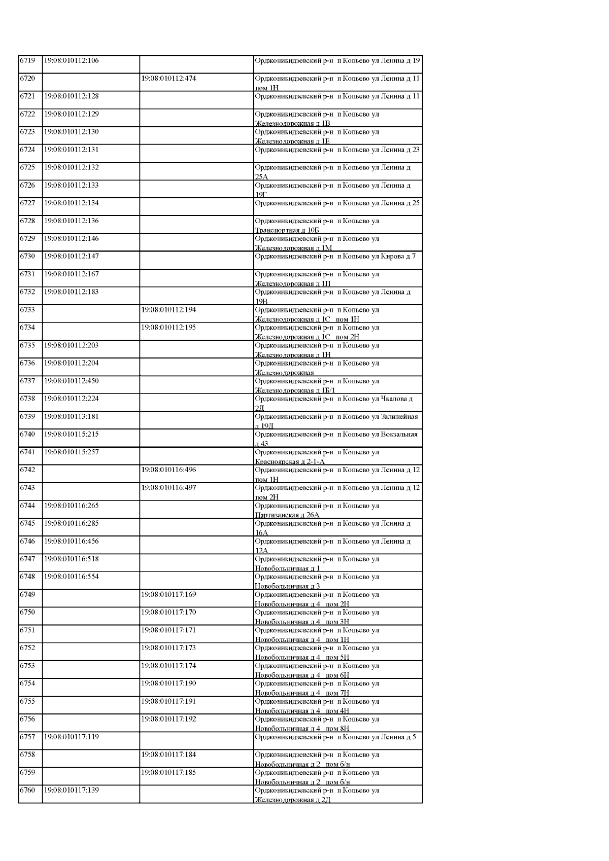
Страница №162 из 189:
Увеличить