Официальное опубликование правовых актов
ОФИЦИАЛЬНОЕ ОПУБЛИКОВАНИЕ
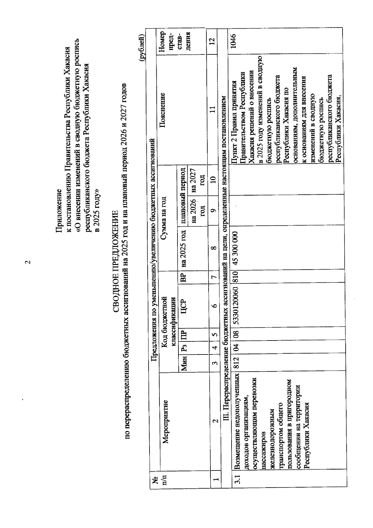
Постановление Правительства Республики Хакасия от 16.06.2025 № 325
"О внесении изменений в сводную бюджетную роспись республиканского бюджета Республики Хакасия в 2025 году"
Номер опубликования: 1900202506170001
Дата опубликования: 17.06.2025
Страница №2 из 3:
Увеличить