Официальное опубликование правовых актов
ОФИЦИАЛЬНОЕ ОПУБЛИКОВАНИЕ
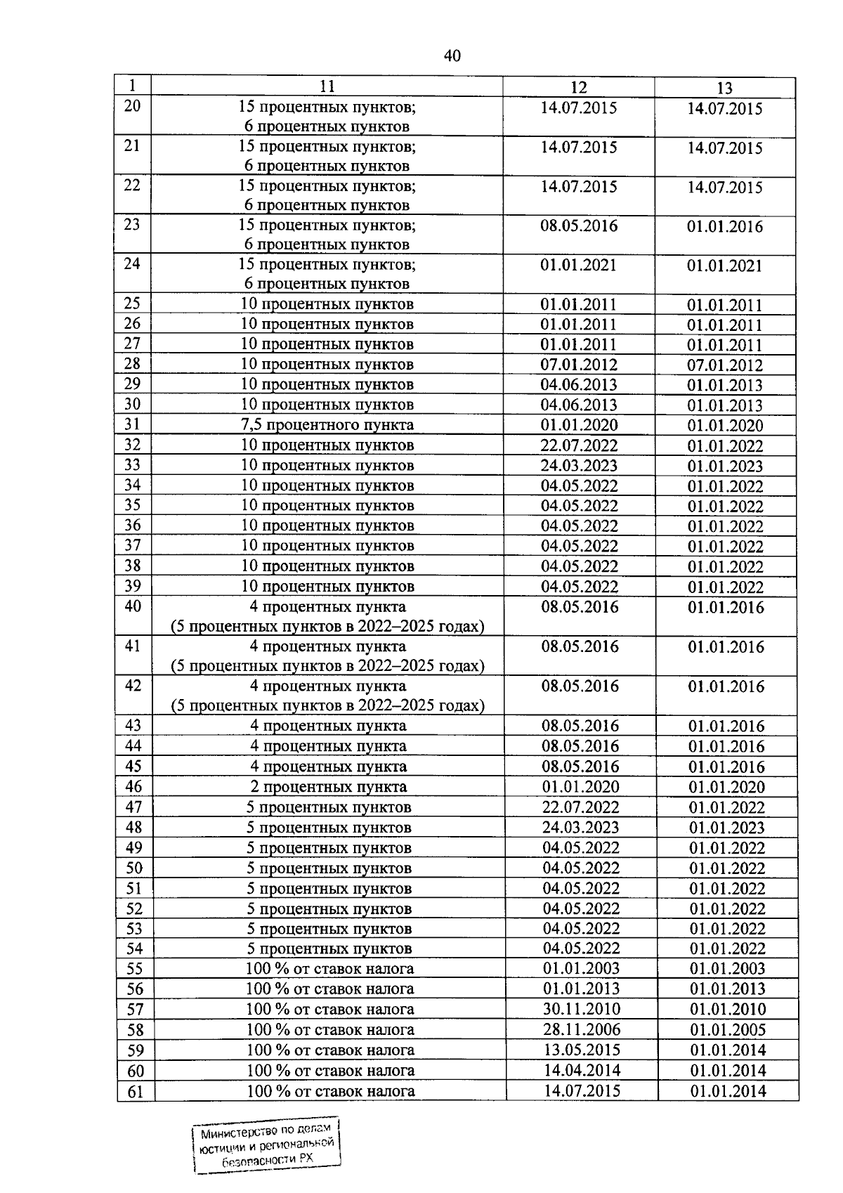
Постановление Правительства Республики Хакасия от 19.12.2024 № 769
"Об утверждении перечня налоговых расходов Республики Хакасия на 2025 год и на плановый период 2026 и 2027 годов"
Номер опубликования: 1900202412200008
Дата опубликования: 20.12.2024
Страница №40 из 55:
Увеличить