Официальное опубликование правовых актов
ОФИЦИАЛЬНОЕ ОПУБЛИКОВАНИЕ
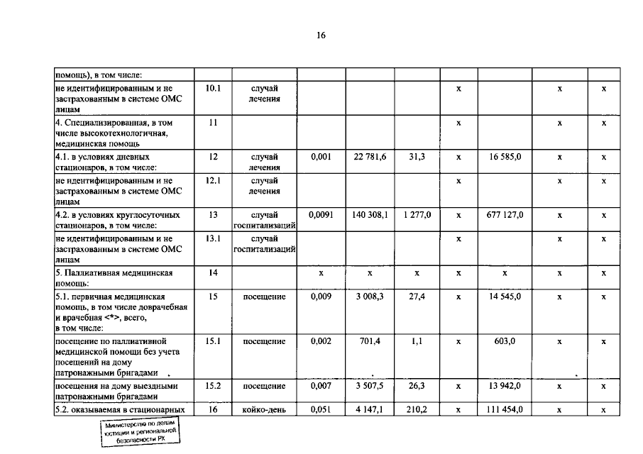
Постановление Правительства Республики Хакасия от 04.07.2023 № 543
"О внесении изменений в территориальную программу государственных гарантий бесплатного оказания гражданам медицинской помощи на территории Республики Хакасия на 2023 год и на плановый период 2024 и 2025 годов, утвержденную постановлением Правительства Республики Хакасия от 19.01.2023 № 42"
Номер опубликования: 1900202307050002
Дата опубликования: 05.07.2023
Страница №16 из 34:
Увеличить