Официальное опубликование правовых актов
ОФИЦИАЛЬНОЕ ОПУБЛИКОВАНИЕ
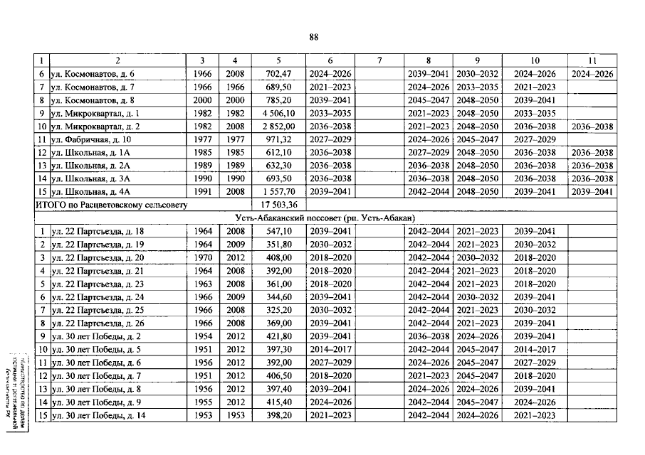
Постановление Правительства Республики Хакасия от 28.06.2023 № 519
"О внесении изменений в региональную программу "Капитальный ремонт общего имущества в многоквартирных домах, расположенных на территории Республики Хакасия (2014–2050 годы)", утвержденную постановлением Правительства Республики Хакасия от 14.03.2014 № 102"
Номер опубликования: 1900202306300001
Дата опубликования: 30.06.2023
Страница №88 из 98:
Увеличить