Официальное опубликование правовых актов
ОФИЦИАЛЬНОЕ ОПУБЛИКОВАНИЕ
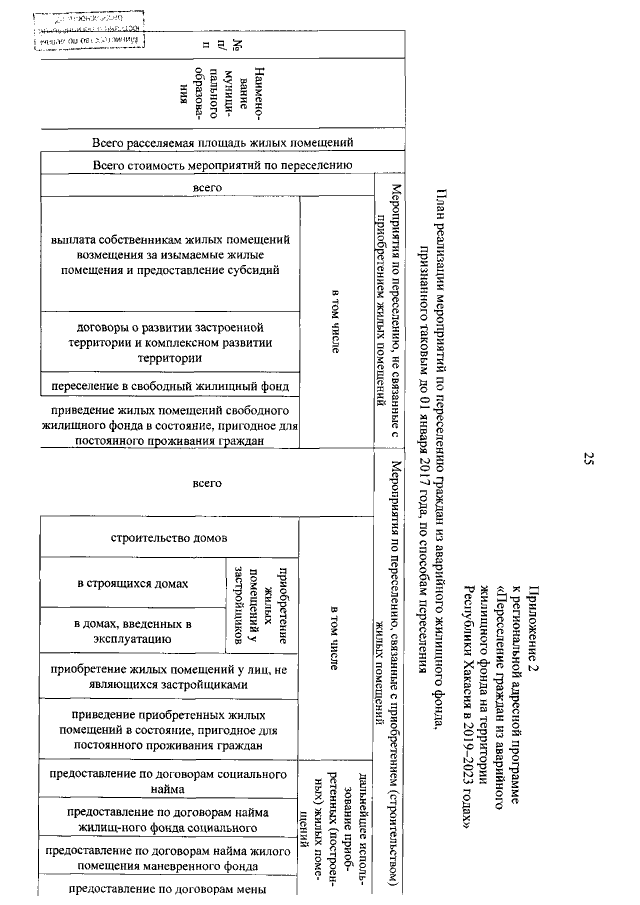
Постановление Правительства Республики Хакасия от 07.09.2022 № 543
"О внесении изменений в региональную адресную программу "Переселение граждан из аварийного жилищного фонда на территории Республики Хакасия в 2019–2023 годах", утвержденную постановлением Правительства Республики Хакасия от 28.03.2019 № 106"
Номер опубликования: 1900202209080001
Дата опубликования: 08.09.2022
Страница №25 из 48:
Увеличить