Официальное опубликование правовых актов
ОФИЦИАЛЬНОЕ ОПУБЛИКОВАНИЕ
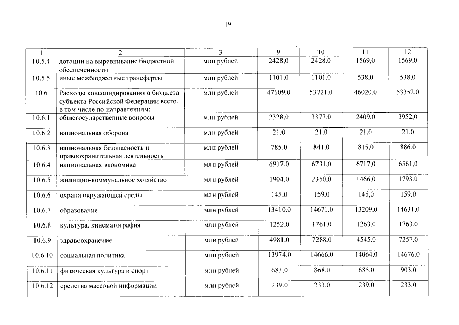
Постановление Правительства Республики Хакасия от 29.12.2021 № 718
"О внесении изменений в Прогноз социально-экономического развития Республики Хакасия на 2022 год и на плановый период 2023 и 2024 годов, одобренный постановлением Правительства Республики Хакасия от 26.10.2021 № 538"
Номер опубликования: 1900202201050002
Дата опубликования: 05.01.2022
Страница №19 из 22:
Увеличить