Официальное опубликование правовых актов
ОФИЦИАЛЬНОЕ ОПУБЛИКОВАНИЕ
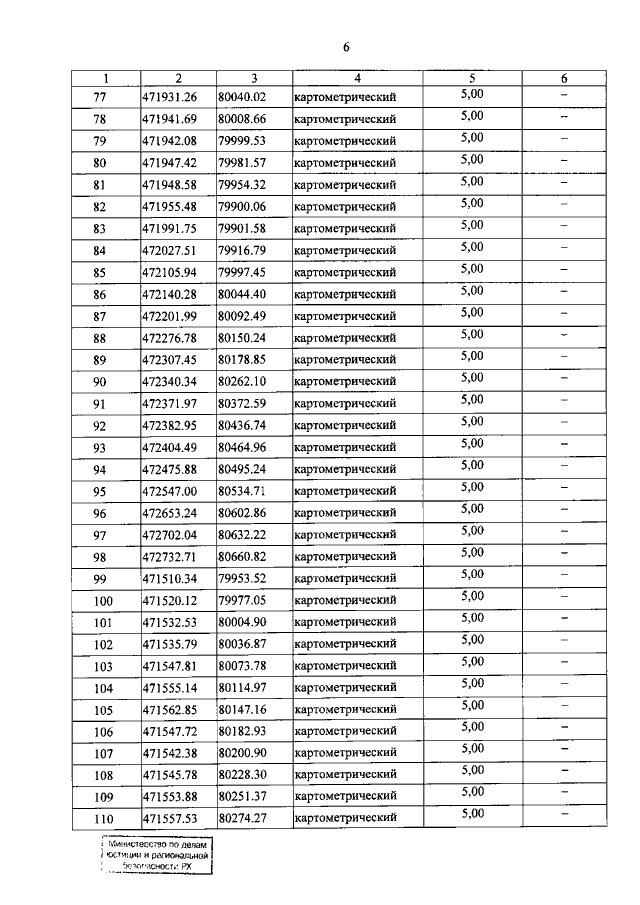
Постановление Правительства Республики Хакасия от 26.11.2020 № 633
"Об образовании особо охраняемой природной территории регионального значения – памятник природы "Каменный лес"
Номер опубликования: 1900202011260013
Дата опубликования: 26.11.2020
Страница №6 из 15:
Увеличить