Официальное опубликование правовых актов
ОФИЦИАЛЬНОЕ ОПУБЛИКОВАНИЕ
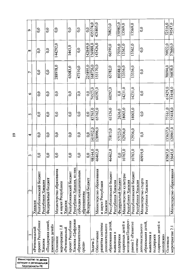
Постановление Правительства Республики Хакасия от 20.07.2020 № 379
"О внесении изменений в приложение к постановлению Правительства Республики Хакасия от 27.10.2015 № 556 "Об утверждении государственной программы Республики Хакасия "Развитие образования в Республике Хакасия"
Номер опубликования: 1900202007210001
Дата опубликования: 21.07.2020
Страница №19 из 39:
Увеличить