Официальное опубликование правовых актов
ОФИЦИАЛЬНОЕ ОПУБЛИКОВАНИЕ
Постановление Правительства Республики Хакасия от 30.06.2020 № 349
"О внесении изменений в отдельные постановления Правительства Республики Хакасия"
Номер опубликования: 1900202007020003
Дата опубликования: 02.07.2020
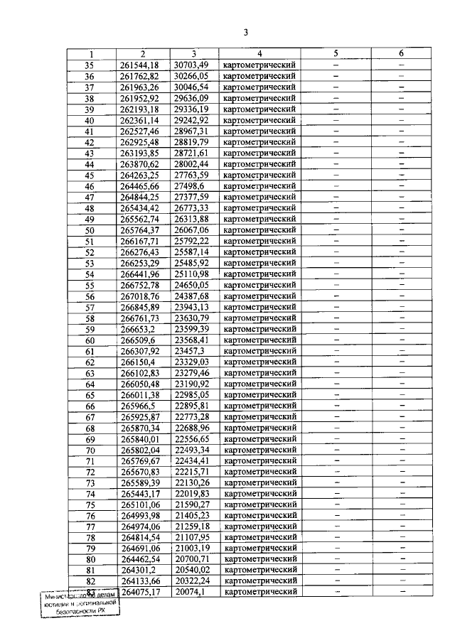
Страница №3 из 137:
Увеличить