Официальное опубликование правовых актов
ОФИЦИАЛЬНОЕ ОПУБЛИКОВАНИЕ
Постановление Правительства Удмуртской Республики от 25.02.2026 № 93
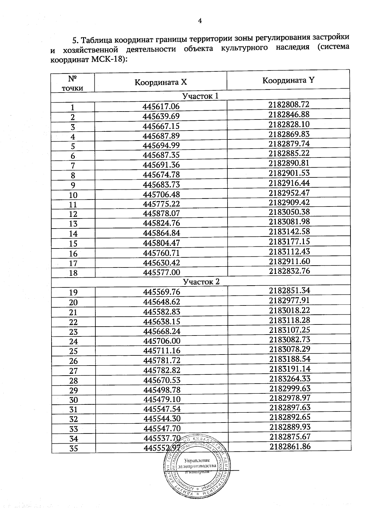
"Об установлении зон охраны объекта культурного наследия регионального значения "Вознесенская (Михайло-Архангельская) церковь, 1826 г., архитектор Росляков Ф.М." и утверждении требований к градостроительным регламентам в границах территорий данных зон"
Номер опубликования: 1800202603020012
Дата опубликования: 02.03.2026
Страница №6 из 10:
Увеличить