Официальное опубликование правовых актов
ОФИЦИАЛЬНОЕ ОПУБЛИКОВАНИЕ
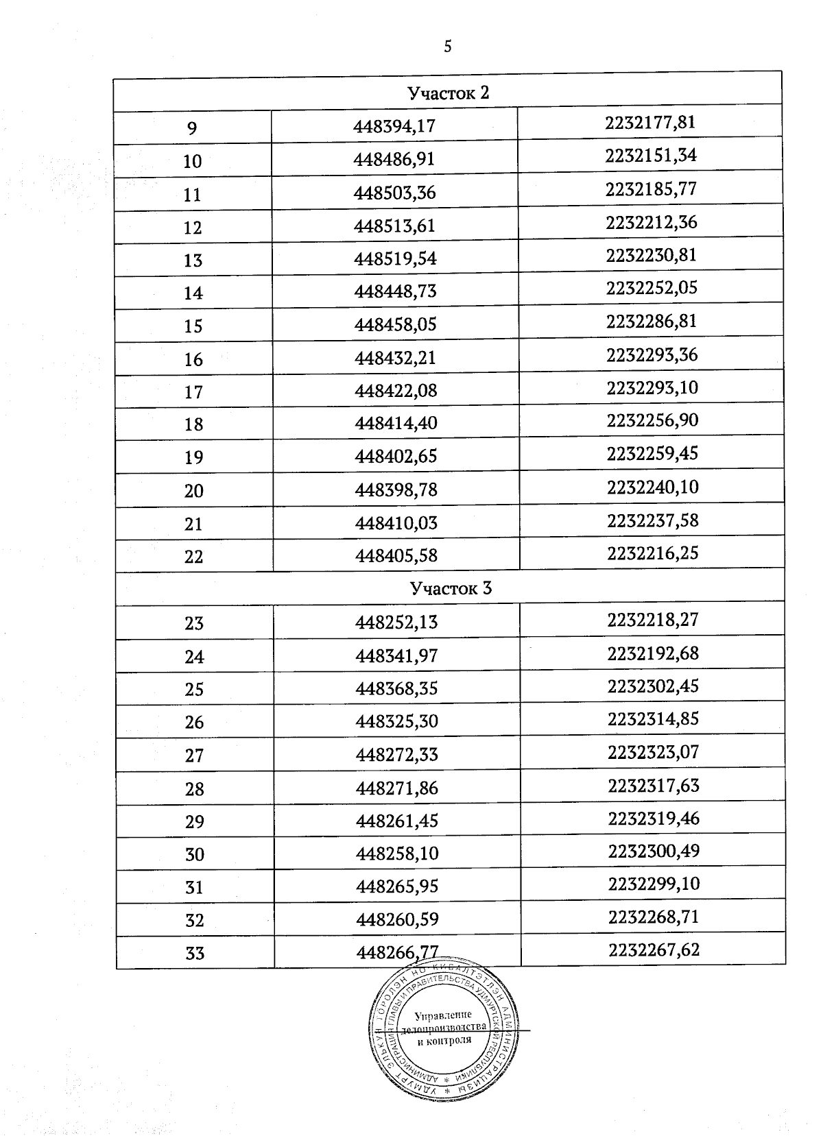
Постановление Правительства Удмуртской Республики от 25.02.2026 № 92
"Об установлении зон охраны объекта культурного наследия регионального значения "Сретенская (Вознесенская) церковь" и утверждении требований к градостроительным регламентам в границах территорий данных зон"
Номер опубликования: 1800202603020010
Дата опубликования: 02.03.2026
Страница №7 из 10:
Увеличить