Официальное опубликование правовых актов
ОФИЦИАЛЬНОЕ ОПУБЛИКОВАНИЕ
Постановление Правительства Удмуртской Республики от 19.08.2025 № 486
"О внесении изменения в Правила землепользования и застройки муниципального образования "Гулековское", утвержденные решением Совета депутатов муниципального образования "Гулековское" Глазовского района Удмуртской Республики от 24 декабря 2013 года № 116 "Об утверждении Правил землепользования и застройки муниципального образования "Гулековское"
Номер опубликования: 1800202508250017
Дата опубликования: 25.08.2025
Страница №34 из 58:
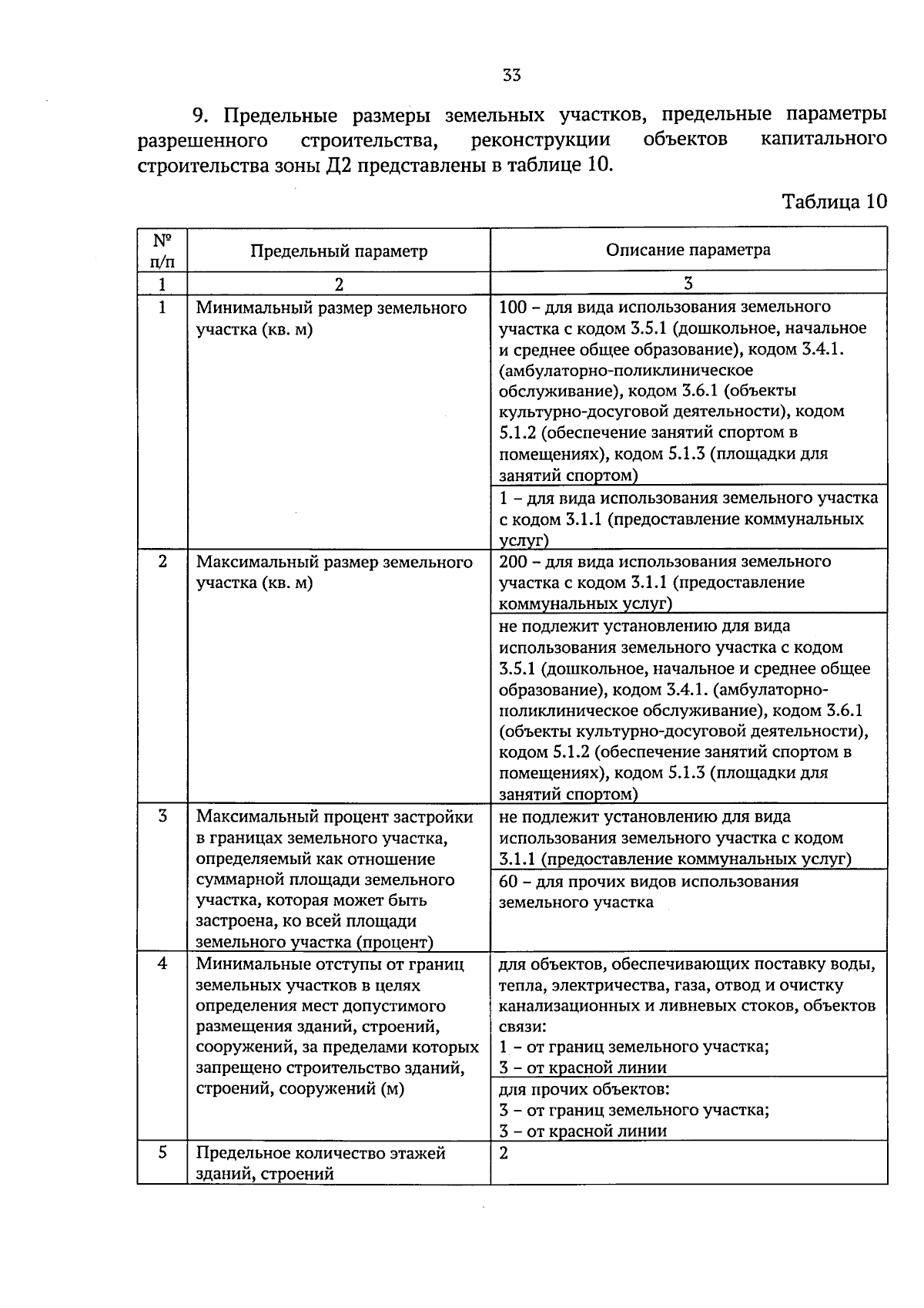
Увеличить