Официальное опубликование правовых актов
ОФИЦИАЛЬНОЕ ОПУБЛИКОВАНИЕ
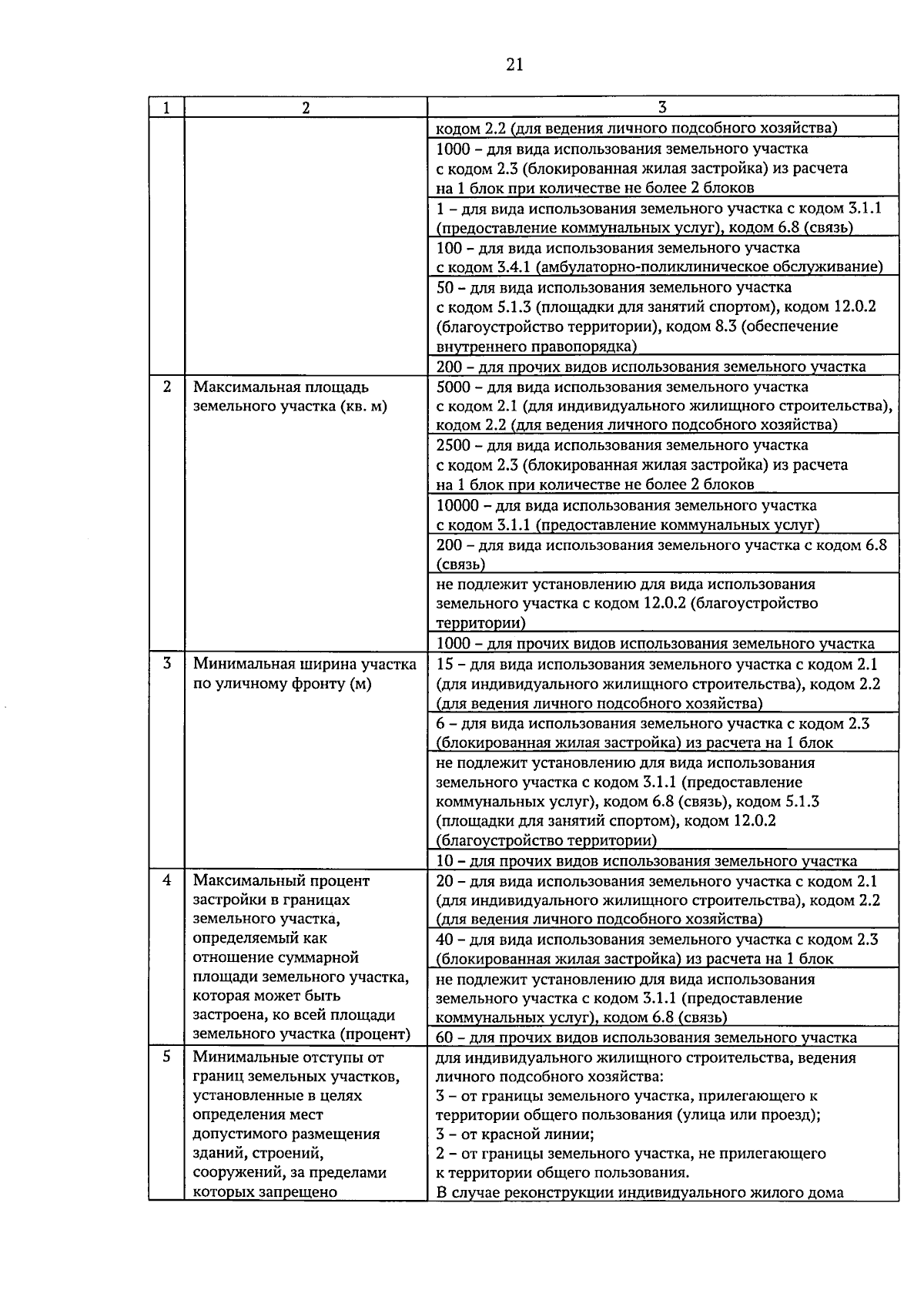
Постановление Правительства Удмуртской Республики от 11.08.2025 № 452
"О внесении изменения в Правила землепользования и застройки муниципального образования "Верхнебемыжское", утвержденные решением Совета депутатов муниципального образования "Верхнебемыжское" Кизнерского района Удмуртской Республики от 23 декабря 2013 года № 15/1 "Об утверждении Правил землепользования и застройки муниципального образования "Верхнебемыжское"
Номер опубликования: 1800202508150006
Дата опубликования: 15.08.2025
Страница №22 из 42:
Увеличить