Официальное опубликование правовых актов
ОФИЦИАЛЬНОЕ ОПУБЛИКОВАНИЕ
Постановление Правительства Удмуртской Республики от 23.07.2025 № 411
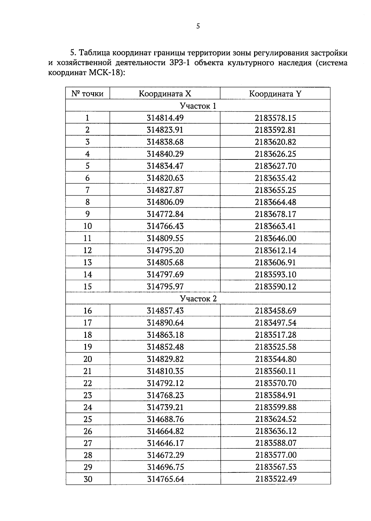
"Об установлении зон охраны объекта культурного наследия регионального значения "Свято-Троицкая церковь, 1836 г., 1903 г., архитектор Чарушин И.А." и утверждении требований к градостроительным регламентам в границах территорий данных зон"
Номер опубликования: 1800202507290005
Дата опубликования: 29.07.2025
Страница №7 из 13:
Увеличить