Официальное опубликование правовых актов
ОФИЦИАЛЬНОЕ ОПУБЛИКОВАНИЕ
Постановление Правительства Удмуртской Республики от 27.02.2024 № 88
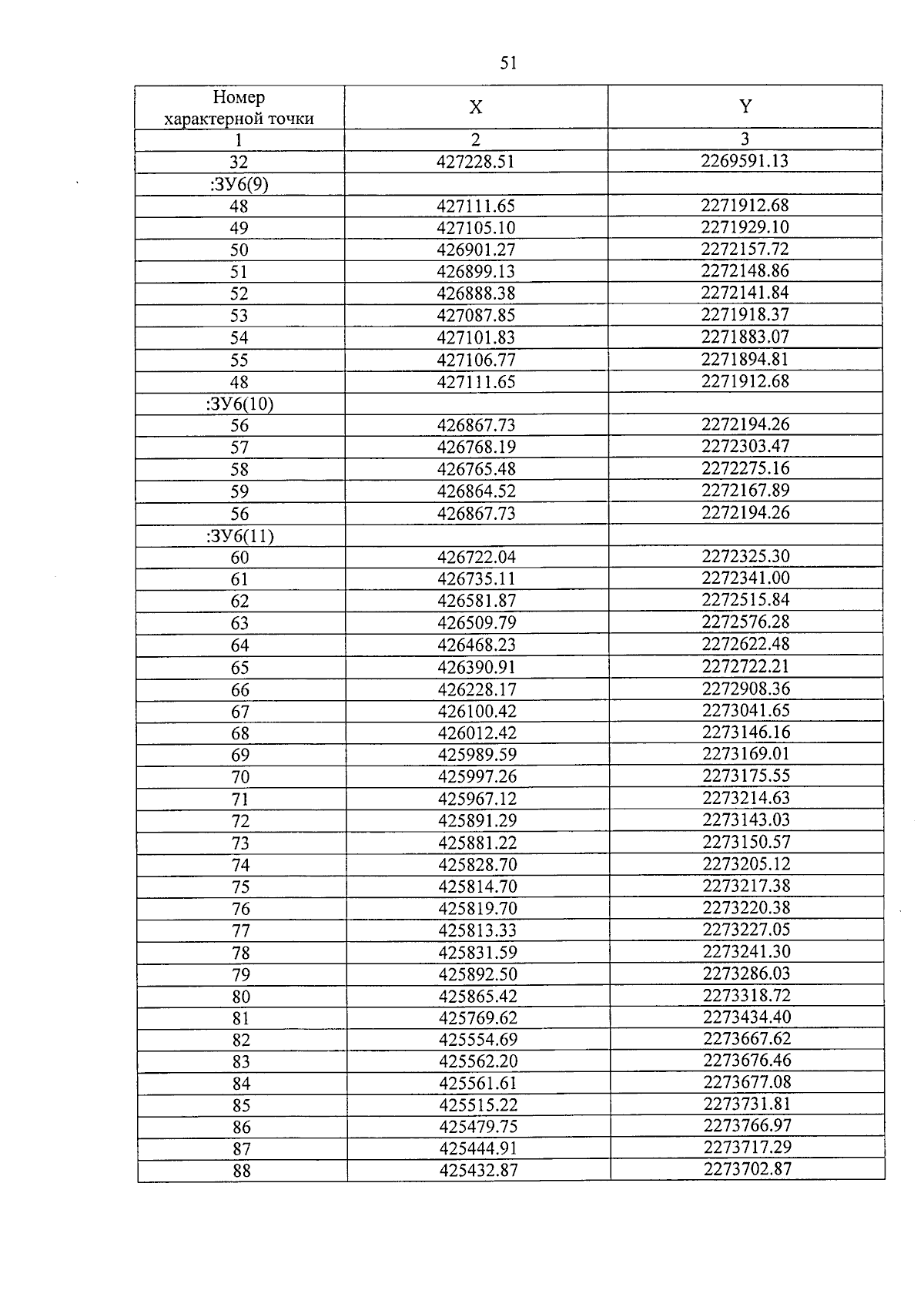
"О внесении изменений в распоряжение Правительства Удмуртской Республики от 7 декабря 2021 года № 1339-р "Об утверждении документации по планировке (проекта планировки и проекта межевания) территории линейного объекта "Мишкинское н/м. Реконструкция системы сбора и транспорта нефти. 2 этап"
Номер опубликования: 1800202402280002
Дата опубликования: 28.02.2024
Страница №51 из 93:
Увеличить