Официальное опубликование правовых актов
ОФИЦИАЛЬНОЕ ОПУБЛИКОВАНИЕ
Постановление Правительства Удмуртской Республики от 16.02.2024 № 71
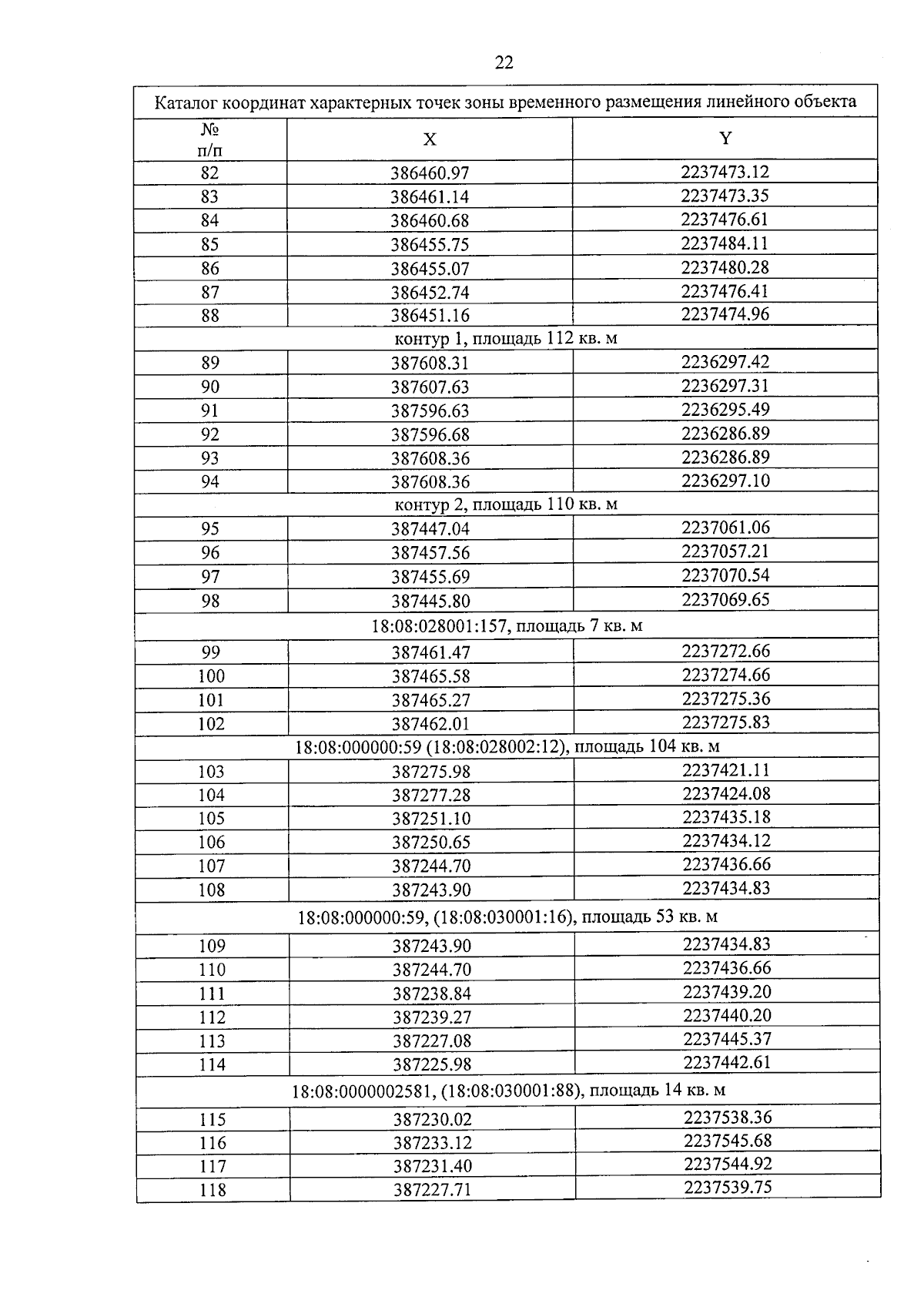
"О внесении изменений в постановление Правительства Удмуртской Республики от 31 августа 2023 года № 584 "Об утверждении документации по планировке территории (проекта планировки и проекта межевания территории) по объекту "Реконструкция автомобильной дороги 94 ОП РЗ А-1 Ижевск – Аэропорт, участок от с. Октябрьское до поворота на с. Завьялово в Завьяловском районе Удмуртской Республики"
Номер опубликования: 1800202402220012
Дата опубликования: 22.02.2024
Страница №22 из 80:
Увеличить