Официальное опубликование правовых актов
ОФИЦИАЛЬНОЕ ОПУБЛИКОВАНИЕ
Постановление Правительства Удмуртской Республики от 21.12.2023 № 857
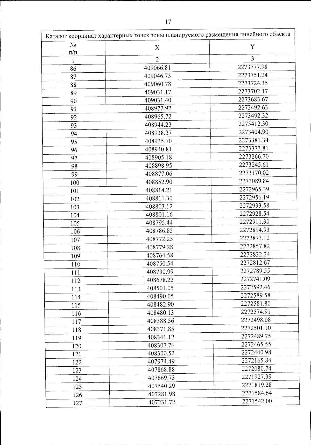
"Об утверждении документации по планировке территории(проекта планировки и проекта межевания территории) по объекту "Реконструкция автомобильной дороги 94 ОП РЗ Р-1 Ижевск – Воткинск в Удмуртской Республике (3 этап)"
Номер опубликования: 1800202312280003
Дата опубликования: 28.12.2023
Страница №18 из 57:
Увеличить