Официальное опубликование правовых актов
ОФИЦИАЛЬНОЕ ОПУБЛИКОВАНИЕ
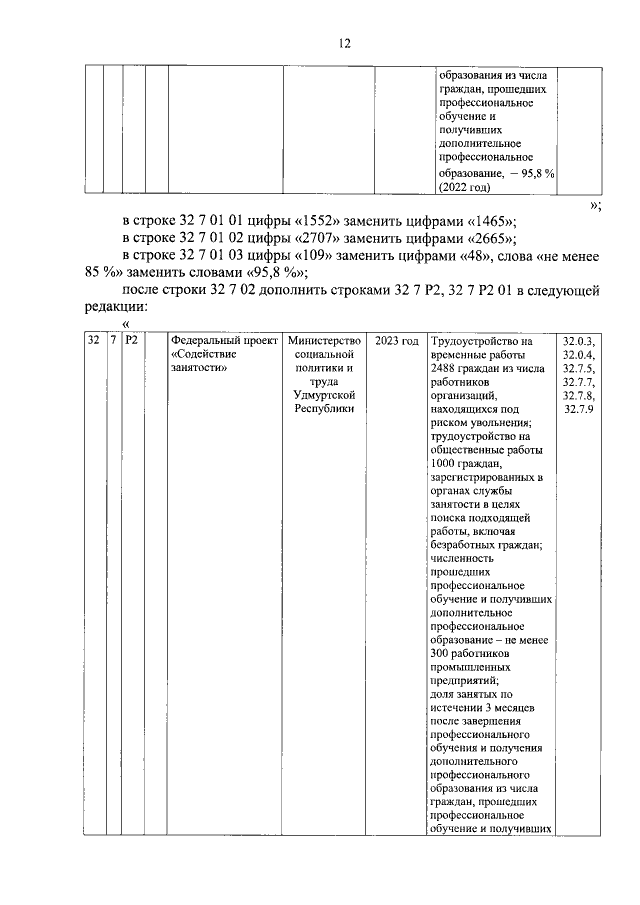
Постановление Правительства Удмуртской Республики от 22.02.2023 № 97
"О внесении изменений в постановление Правительства Удмуртской Республики от 31 марта 2015 года № 126 "Об утверждении государственной программы Удмуртской Республики "Развитие социально-трудовых отношений и содействие занятости населения Удмуртской Республики"
Номер опубликования: 1800202303010003
Дата опубликования: 01.03.2023
Страница №12 из 28:
Увеличить