Официальное опубликование правовых актов
ОФИЦИАЛЬНОЕ ОПУБЛИКОВАНИЕ
Постановление Правительства Удмуртской Республики от 08.02.2023 № 80
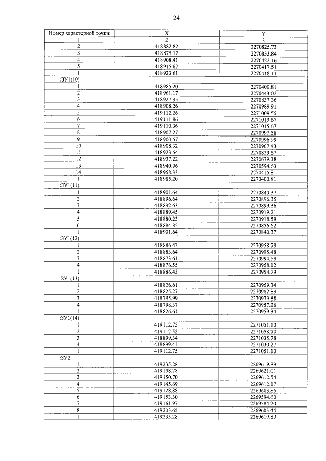
"Об утверждении Документации по планировке территории (проекта планировки территории и проекта межевания территории) линейного объекта "Реконструкция системы сбора, транспорта нефти и поддержания пластового давления Лиственского н/м. Актуализация"
Номер опубликования: 1800202302150004
Дата опубликования: 15.02.2023
Страница №25 из 40:
Увеличить