Официальное опубликование правовых актов
ОФИЦИАЛЬНОЕ ОПУБЛИКОВАНИЕ
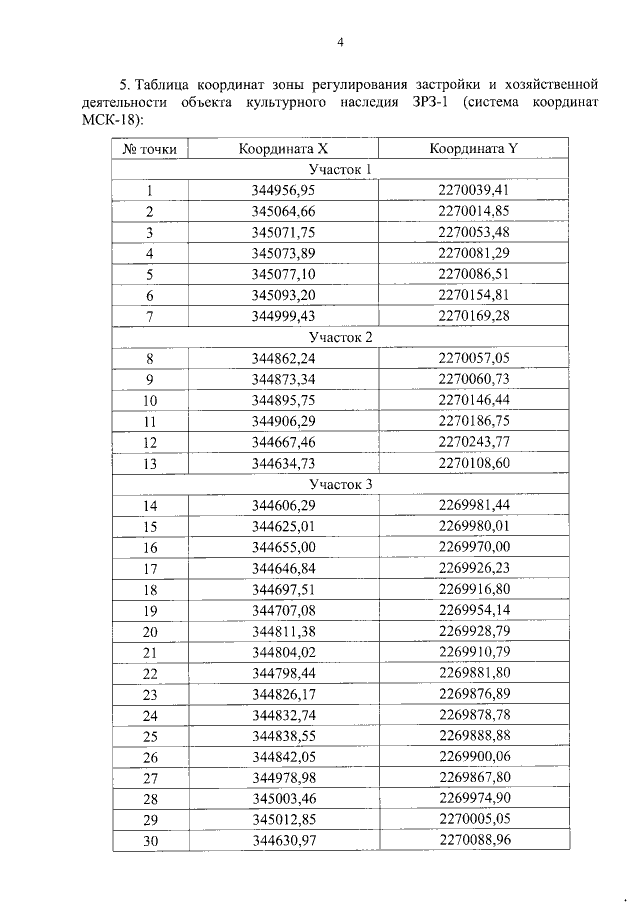
Постановление Правительства Удмуртской Республики от 05.10.2022 № 539
"Об установлении зон охраны объекта культурного наследия регионального значения "Свято-Никольский храм, 1907 г., архитектор Туркевич А.Б." и утверждении требований к градостроительным регламентам в границах территорий данных зон"
Номер опубликования: 1800202210100012
Дата опубликования: 10.10.2022
Страница №6 из 15:
Увеличить