Официальное опубликование правовых актов
ОФИЦИАЛЬНОЕ ОПУБЛИКОВАНИЕ
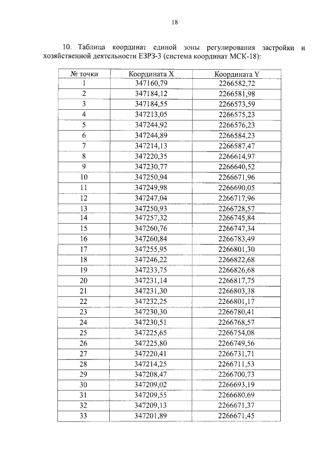
Постановление Правительства Удмуртской Республики от 29.09.2022 № 519
"Об установлении объединенной зоны охраны объектов культурного наследия, расположенных на территории города Сарапула, и утверждении требований к градостроительным регламентам в границах территорий данной зоны"
Номер опубликования: 1800202209300017
Дата опубликования: 30.09.2022
Страница №20 из 45:
Увеличить