Официальное опубликование правовых актов
ОФИЦИАЛЬНОЕ ОПУБЛИКОВАНИЕ
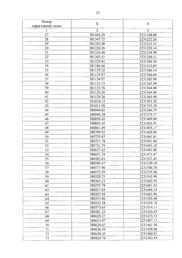
Постановление Правительства Удмуртской Республики от 06.09.2022 № 460
"Об утверждении документации по планировке (проекта планировки и проекта межевания) территории линейного объекта "Газопровод – отвод к очистным сооружениям в г. Ижевске 2450 м"
Номер опубликования: 1800202209080010
Дата опубликования: 08.09.2022
Страница №13 из 22:
Увеличить