Официальное опубликование правовых актов
ОФИЦИАЛЬНОЕ ОПУБЛИКОВАНИЕ
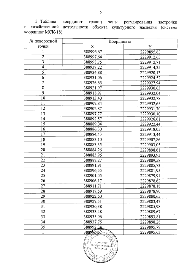
Постановление Правительства Удмуртской Республики от 06.04.2022 № 181
"Об установлении зон охраны объекта культурного наследия регионального значения "Монумент боевой и трудовой славы, посвященный подвигу трудящихся Удмуртии в годы Великой Отечественной войны 1941 – 1945 гг." и утверждении требований к градостроительным регламентам в границах территории данных зон"
Номер опубликования: 1800202204080018
Дата опубликования: 08.04.2022
Страница №7 из 10:
Увеличить