Официальное опубликование правовых актов
ОФИЦИАЛЬНОЕ ОПУБЛИКОВАНИЕ
Постановление Правительства Удмуртской Республики от 29.03.2022 № 145
"О внесении изменений в постановление Правительства Удмуртской Республики от 19 августа 2013 года № 372 "Об утверждении государственной программы Удмуртской Республики "Этносоциальное развитие и гармонизация межэтнических отношений"
Номер опубликования: 1800202204070004
Дата опубликования: 07.04.2022
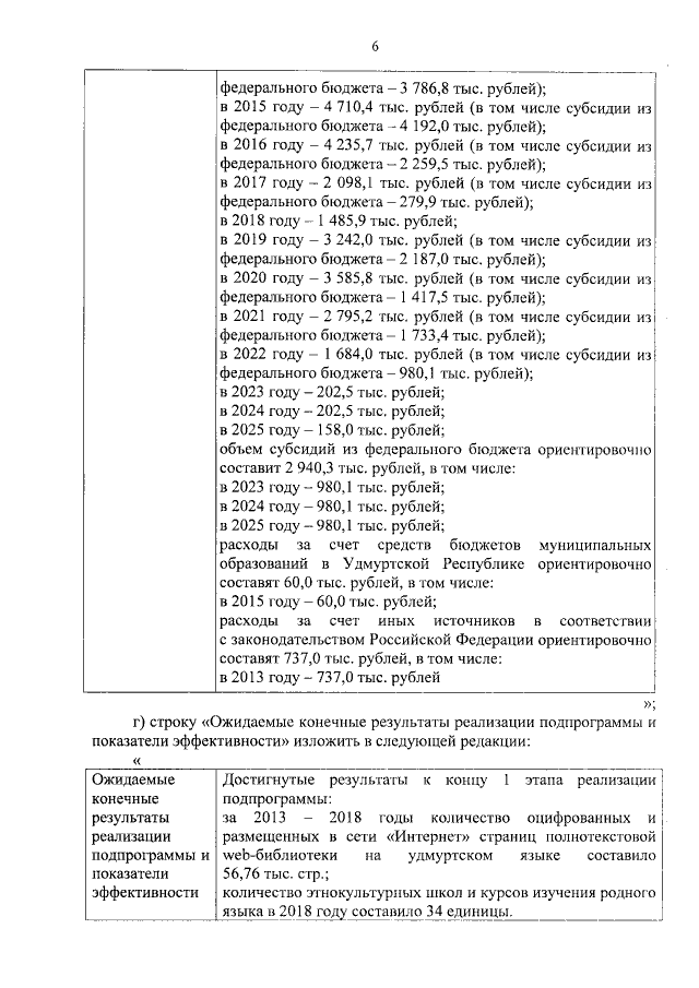
Страница №6 из 32:
Увеличить