Официальное опубликование правовых актов
ОФИЦИАЛЬНОЕ ОПУБЛИКОВАНИЕ
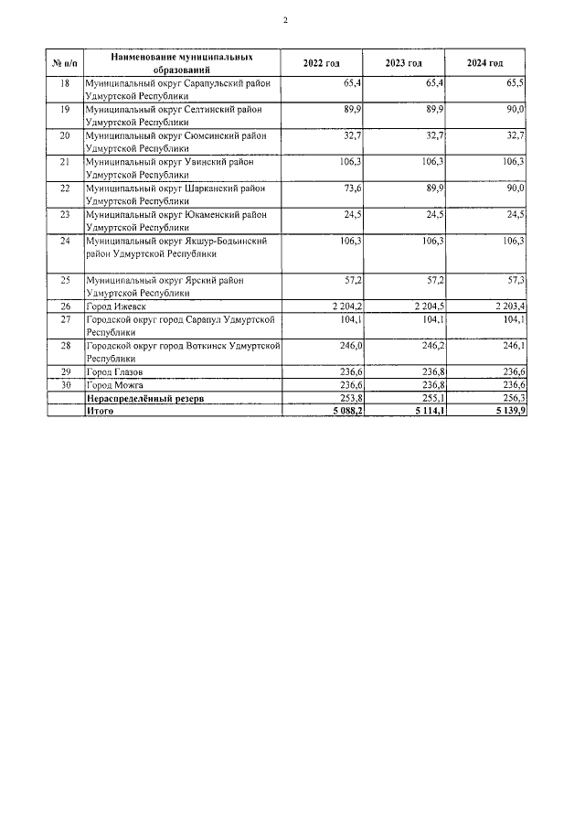
Закон Удмуртской Республики от 27.12.2021 № 140-РЗ
"О бюджете Удмуртской Республики на 2022 годи на плановый период 2023 и 2024 годов"
Номер опубликования: 1800202112290009
Дата опубликования: 29.12.2021
Страница №505 из 527:
Увеличить