Официальное опубликование правовых актов
ОФИЦИАЛЬНОЕ ОПУБЛИКОВАНИЕ
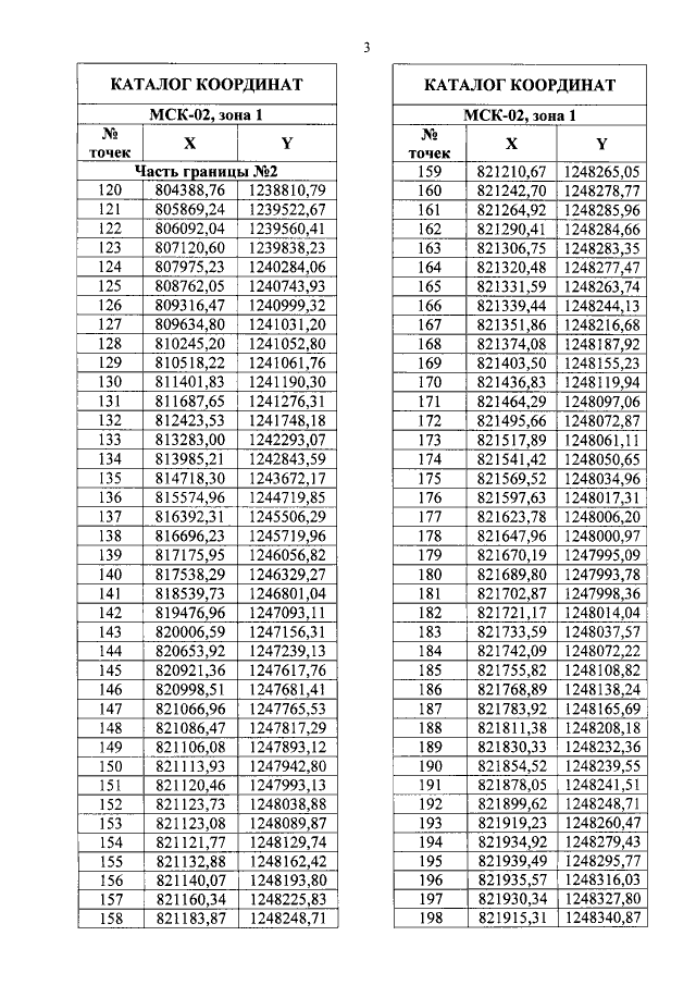
Закон Удмуртской Республики от 24.12.2021 № 133-РЗ
"Об утверждении заключения дополнительного соглашения к Соглашению между Удмуртской Республикой и Республикой Башкортостан об описании местоположения частей границы между Удмуртской Республикой и Республикой Башкортостан"
Номер опубликования: 1800202112290003
Дата опубликования: 29.12.2021
Страница №37 из 65:
Увеличить