Официальное опубликование правовых актов
ОФИЦИАЛЬНОЕ ОПУБЛИКОВАНИЕ
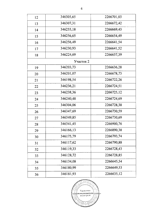
Постановление Правительства Удмуртской Республики от 30.09.2021 № 542
"Об установлении зон охраны объекта культурного наследия регионального значения "Покровская церковь, 1782 г., архитектор Ф.М. Росляков" и утверждении требований к градостроительным регламентам в границах территорий данных зон"
Номер опубликования: 1800202110080004
Дата опубликования: 08.10.2021
Страница №8 из 12:
Увеличить