Официальное опубликование правовых актов
ОФИЦИАЛЬНОЕ ОПУБЛИКОВАНИЕ
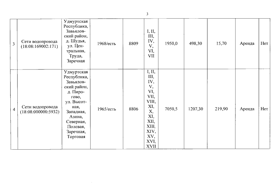
Постановление Правительства Удмуртской Республики от 07.09.2017 № 382
"О разграничении муниципального имущества между муниципальным образованием "Завьяловский район" и входящим в его состав муниципальным образованием "Пироговское"
Номер опубликования: 1800201709120008
Дата опубликования: 12.09.2017
Страница №5 из 10:
Увеличить